Skip to content
Plantilla PDF

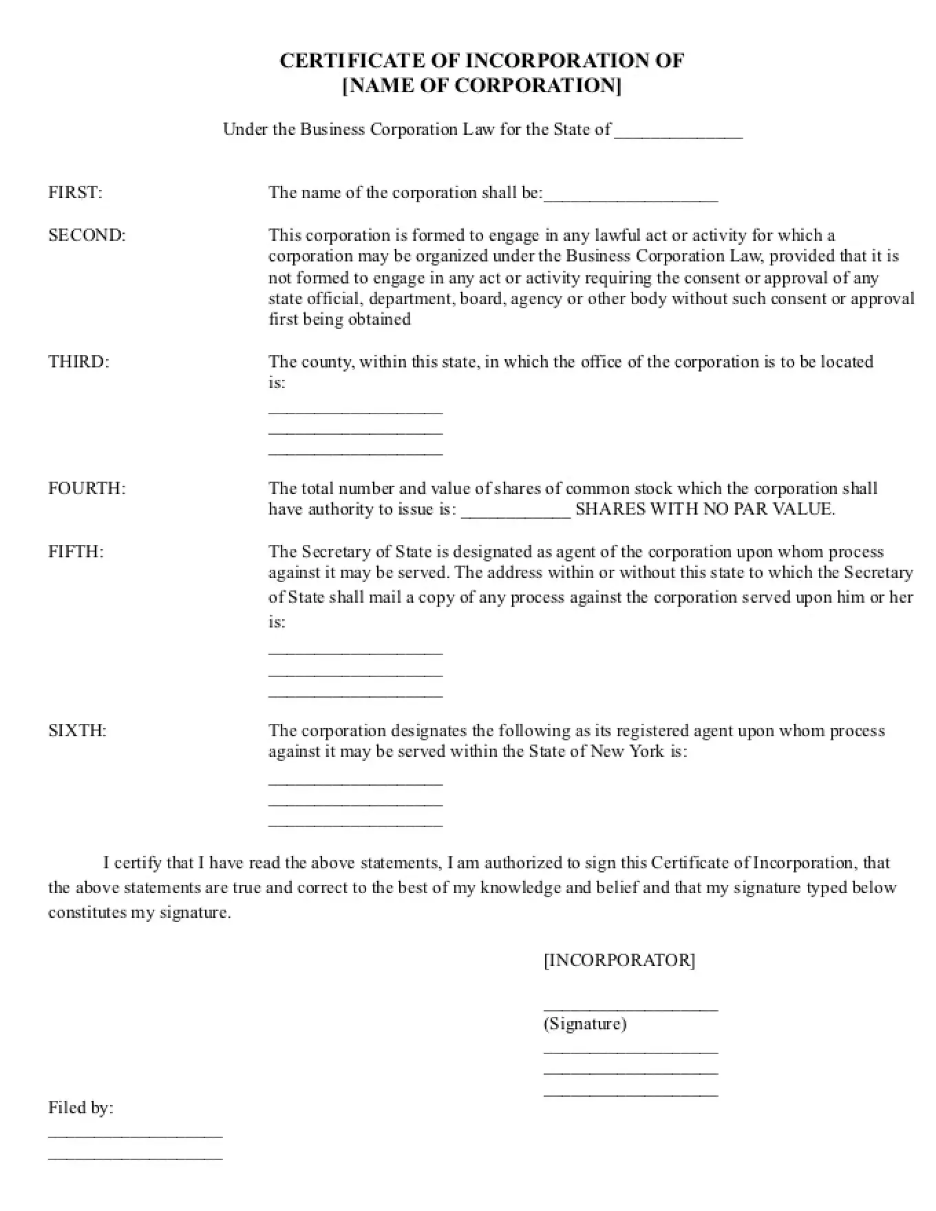
Modelo de estatutos

Qué hay que saber sobre los estatutos

¿Busca una plantilla de escritura de constitución para su empresa? Tenemos una plantilla lista para personalizar según sus necesidades.

Crear una empresa puede ser muy emocionante. Tanto si está creando su propia empresa como si está ayudando a otra persona, querrá asegurarse de que se hace de la forma correcta. Muchas empresas se constituyen en sociedad para protegerse, y para ello necesitan estatutos. Esto es lo que debes tener en cuenta a la hora de redactar esos estatutos, para protegerte a ti mismo y tu futuro.

Contenido

No tendrá que preocuparse por su modelo de escritura de constitución cuando elija uno en el que pueda confiar y, a continuación, rellene los datos de su empresa. Esto cubrirá todos los aspectos importantes y necesarios del contrato. Aquí cubriremos:

  • Cláusulas importantes
  • Mejores prácticas
  • Consejos para la seguridad
  • Consejos sobre los estatutos
  • Consideraciones clave
  • Recursos relacionados

Cláusulas importantes de los estatutos

Al redactar los estatutos, debe asegurarse de que incluye todas las cláusulas necesarias. Si omite alguna o no la redacta correctamente, es posible que no tenga el nivel de protección que necesita. Si elige un modelo de escritura de constitución, tendrá todo lo que necesita en un solo lugar, para que su nueva empresa tenga la seguridad y tranquilidad que necesita.

  1. Estatutos - Los estatutos son los principios básicos que seguirá la sociedad. Es como la constitución de su empresa.
  2. Información sobre los accionistas y directores - Los accionistas y directores de la sociedad deben ser nombrados, y sus deberes/obligaciones declarados.
  3. Recompra deacciones - En determinadas situaciones, la sociedad puede querer recomprar acciones. Esto le permite hacerlo.
  4. Hoja de términos - Los términos de la inversión en valores o acciones, explicando los derechos cuando se invierte en esas áreas.

Si se asegura de que las cláusulas de su escritura de constitución son correctas, podrá avanzar con confianza en el desarrollo de su negocio.

Mejores prácticas para los estatutos

Mediante el uso de una plantilla de escritura de constitución, puede tener todo el lenguaje estándar que necesita y cubrir sus bases legales con éxito. Esto ayuda a reducir las posibilidades de que algo se escape, o que no redacte algo correctamente para establecer su empresa de la manera que necesita. Constituir una sociedad es una forma de protección jurídica, por lo que debe asegurarse de que se hace y se registra correctamente. En resumen:

  • Asegúrese de que todo está completo antes de enviarlo a firmar o de firmarlo usted mismo.
  • No cambie los términos y el lenguaje estándar que forman parte de la plantilla.
  • Rellene toda la información y los detalles sobre su empresa de forma correcta y completa.

La plantilla de escritura de constitución le da una buena idea de lo que puede esperar, por lo que no perderá mucho tiempo buscando en ella todos los pequeños detalles. Puede rellenar los espacios en blanco y saber que tiene la redacción y la información correctas para constituir su empresa.

Consejos para constituir una sociedad de forma segura

Una de las mejores formas de asegurarse de que sus estatutos son seguros y se procesan correctamente es enviarlos para su firma por vía electrónica. Tanto si los ha creado para su propia empresa, como si lo ha hecho para ayudar a otra persona, la firma electrónica es la mejor manera de hacerlo. Cuando llegue el momento de firmar su escritura de constitución o cualquier otro tipo de contrato , utilice Nitro Sign para firmar sus contratos o documentos importantes . Es una forma rápida y segura de asegurarse de que todo se firma y entrega correctamente.

Consejos sobre la creación de escrituras de constitución

Cuando cree y utilice estatutos, asegúrese de que se refieren al negocio que está creando o al que está ayudando a desarrollar a otra persona. Debe redactar los estatutos de forma que se refieran al tipo de empresa, a los directivos y demás personas que la controlan, y a cualquier detalle que destaque o sea único. Así se reducen las posibilidades de que surjan problemas y la constitución puede seguir adelante.

Consideraciones clave para la escritura de constitución

Algunas de las consideraciones más importantes que hay que tener en cuenta al constituir una sociedad son:

  • La redacción correcta, para asegurarse de que se puede incorporar con éxito.
  • Tener claro quiénes son los directivos.
  • Abordar el tipo, el tamaño y el alcance de la empresa.
  • Cumplir las directrices legales del estado de constitución de la empresa.
  • Comprender qué tipo de sociedad se está creando.

Con los artículos de incorporación, puede aumentar su protección y seguridad, por lo que tiene la oportunidad de hacer crecer su negocio de una manera que sea segura y le ayudará a tener el mayor éxito posible en el futuro.

Fuentes relacionadas para obtener información adicional

¿Está preparado para obtener más información sobre los estatutos? Considere estos recursos.

Definición de los estatutos 
¿Qué son los estatutos? 

DESCARGO DE RESPONSABILIDAD: Las plantillas de contratos proporcionadas en el sitio web de Nitro sólo tienen fines informativos y están pensadas como punto de partida para crear documentos personalizados. El contenido mostrado aquí, incluidas las plantillas, no constituye asesoramiento legal. Nitro no representa ni garantiza la exactitud, integridad o idoneidad de la información proporcionada. El uso de estos materiales corre por su cuenta y riesgo. Recomendamos encarecidamente consultar a un asesor legal cualificado para garantizar el cumplimiento de las leyes y normativas aplicables.

Descubra lo que Nitro puede hacer por usted

Dé hoy el siguiente paso hacia el éxito digital.

Icon-48px-Rapid Support

Contactar con ventas

Hable con nuestros expertos sobre las necesidades de su empresa y explore opciones rentables para las soluciones PDF y eSign de primera clase de Nitro.
Póngase en contacto con nosotros
Icon-48px-Smart signing

Prueba gratuita

Pruebe las soluciones PDF y eSign de Nitro para editar, firmar y organizar documentos sin esfuerzo, ¡gratis durante 14 días!
Comience su prueba gratuita
icon of people with a plus sign

Conviértase en socio

Descubra nuestras emocionantes oportunidades de colaboración para las soluciones documentales de confianza de Nitro
Asóciese con Nitro hoy mismo