Skip to content
PDF-sjabloon

Sjabloon voor statuten

Wat je moet weten over statuten

Op zoek naar een sjabloon voor statuten voor je bedrijf? We hebben een sjabloon dat je vandaag nog kunt aanpassen aan je behoeften.

Een bedrijf starten kan heel spannend zijn. Of je er nu zelf een opstart of iemand anders helpt, je wilt er zeker van zijn dat het op de juiste manier gebeurt. Veel bedrijven worden opgericht om zichzelf te beschermen, en om dat te doen heb je statuten nodig. Hier lees je waar je rekening mee moet houden als je die statuten opstelt, zodat je jezelf en je toekomst kunt beschermen.

Inhoudsopgave

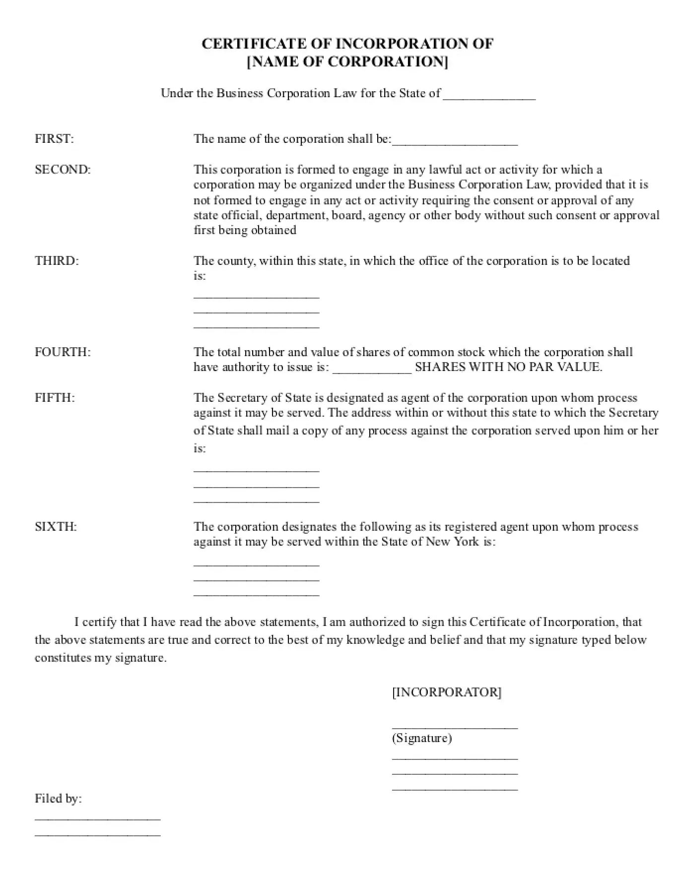
Je hoeft je geen zorgen te maken over het sjabloon voor je oprichtingsakte, als je er een kiest die je kunt vertrouwen en vervolgens de details van je bedrijf invult. Dan komen alle belangrijke, noodzakelijke aspecten van het contract aan bod. Hier behandelen we:

  • Belangrijke clausules
  • Beste Praktijken
  • Tips voor beveiliging
  • Advies over statuten
  • Belangrijke overwegingen
  • Gerelateerde bronnen

Belangrijke clausules in statuten

Bij het opstellen van statuten moet je ervoor zorgen dat je alle clausules gebruikt die erin moeten staan. Als je iets weglaat of dingen niet goed verwoordt, heb je misschien niet de bescherming die je nodig hebt. Als je kiest voor een sjabloon voor statuten, krijg je alles wat je nodig hebt op één plek, zodat je de zekerheid en gemoedsrust hebt die je nodig hebt voor je nieuwe bedrijf.

  1. Statuten - De statuten zijn de basisprincipes die het bedrijf zal volgen. Het is als een grondwet voor je bedrijf.
  2. Informatie voor aandeelhouders en directeuren - De aandeelhouders en directeuren van het bedrijf moeten worden genoemd en hun taken/verplichtingen moeten worden vermeld.
  3. Inkoop van aandelen - In bepaalde situaties kan het bedrijf aandelen willen terugkopen. Dit maakt het mogelijk om dat te doen.
  4. Term Sheet - De voorwaarden van een investering in effecten of aandelen, waarin de rechten bij het investeren in die gebieden worden beschreven.

Door ervoor te zorgen dat de clausules in je oprichtingsakte nauwkeurig zijn, kun je vol vertrouwen verder met de ontwikkeling van je bedrijf.

Oprichtingsakte Best Practices

Door een sjabloon voor statuten te gebruiken, heb je alle standaardtaal die je nodig hebt en kun je je juridische basis succesvol afdekken. Dat verkleint de kans dat er iets tussenkomt of dat je iets niet goed hebt geformuleerd om je bedrijf op te zetten zoals jij dat wilt. Een bedrijf oprichten is een vorm van juridische bescherming, dus je wilt er zeker van zijn dat het op de juiste manier wordt gedaan en ingediend. Kortom:

  • Zorg ervoor dat alles compleet is voordat je het opstuurt voor een handtekening of het zelf ondertekent.
  • Verander niets aan de standaardvoorwaarden en taal die deel uitmaken van de sjabloon.
  • Vul alle informatie en details over je bedrijf correct en volledig in.

De oprichtingssjabloon geeft je een goed idee van wat je kunt verwachten, zodat je niet veel tijd kwijt bent met het doornemen van alle kleine bijkomstigheden. Je kunt de lege plekken invullen en weten dat je de juiste bewoordingen en informatie hebt om je bedrijf op te richten.

Tips voor veilige statuten

Een van de beste manieren om ervoor te zorgen dat je statuten veilig zijn en correct worden verwerkt, is om ze elektronisch te verzenden voor ondertekening. Of je ze nu hebt gemaakt voor je eigen bedrijf of voor iemand anders om ze te helpen, elektronisch ondertekenen is de beste manier. Als het tijd is om je statuten of een ander soort contract te ondertekenen , gebruik dan Nitro Sign om je contracten of belangrijke documenten te laten ondertekenen . Het is een snelle en veilige manier om ervoor te zorgen dat alles op de juiste manier wordt ondertekend en afgeleverd.

Advies over het maken van statuten

Bij het maken en gebruiken van statuten, moet je er zeker van zijn dat ze betrekking hebben op het bedrijf dat jij aan het opzetten bent, of het bedrijf dat je iemand anders helpt ontwikkelen. Je moet de statuten zo opstellen dat ze betrekking hebben op het type bedrijf, de functionarissen en anderen die het bedrijf leiden en eventuele details die opvallen of uniek zijn. Dat verkleint de kans op problemen, zodat de oprichting door kan gaan.

Belangrijkste overwegingen voor statuten

Enkele van de belangrijkste overwegingen bij statuten zijn:

  • De juiste formulering, om ervoor te zorgen dat je de oprichting succesvol kunt laten verlopen.
  • Duidelijk zijn over wie de functionarissen zijn.
  • Het aanpakken van het type, de grootte en de omvang van het bedrijf.
  • De wettelijke richtlijnen volgen voor de oprichtingsstaat van het bedrijf.
  • Begrijpen welk type bedrijf wordt opgericht.

Met statuten kun je je bescherming en zekerheid vergroten, zodat je de mogelijkheid hebt om je bedrijf te laten groeien op een manier die veilig is en je zal helpen om zo succesvol mogelijk te zijn in de toekomst.

Verwante bronnen voor aanvullende informatie

Wil je meer weten over statuten? Overweeg deze bronnen.

Een definitie van statuten 
Wat zijn statuten? 

DISCLAIMER: De contractsjablonen op de website van Nitro zijn uitsluitend bedoeld voor informatieve doeleinden en zijn bedoeld als uitgangspunt voor het maken van aangepaste documenten. De inhoud, inclusief de sjablonen, vormt geen juridisch advies. Nitro geeft geen verklaringen of garanties met betrekking tot de nauwkeurigheid, volledigheid of geschiktheid van de verstrekte informatie. Het gebruik van deze materialen is op eigen risico. Wij raden u ten zeerste aan gekwalificeerd juridisch advies in te winnen om er zeker van te zijn dat de toepasselijke wet- en regelgeving wordt nageleefd.

Ontdek wat Nitro voor u kan doen

Zet vandaag nog de volgende stap naar digitaal succes.

Icon-48px-Rapid Support

Neem contact op met Sales

Praat met onze experts over de behoeften van uw bedrijf en ontdek kosteneffectieve opties voor ’de PDF- en eSign-oplossingen van Nitro van wereldklasse.
Neem contact op
Icon-48px-Smart signing

Gratis proefperiode

Probeer de PDF- en eSign-oplossingen van Nitro om documenten moeiteloos te bewerken, ondertekenen en organiseren: gratis voor 14 dagen!
Start uw gratis proefperiode
icon of people with a plus sign

Word een partner

Meer informatie over onze interessante partnermogelijkheden voor ’de betrouwbare documentoplossingen van Nitro.
Word vandaag nog partner met Nitro