Skip to content
Modello PDF

Modello di atto costitutivo

Cosa sapere sull'atto costitutivo

Cercate un modello di atto costitutivo per la vostra azienda? Abbiamo un modello pronto per essere personalizzato per le vostre esigenze.

Avviare un'attività può essere molto emozionante. Sia che ne stiate avviando una vostra, sia che stiate aiutando qualcun altro, volete essere sicuri che sia fatta nel modo giusto. Molte imprese vengono costituite in società per tutelarsi, e per farlo è necessario l'atto costitutivo. Ecco cosa bisogna considerare quando si creano gli atti costitutivi, in modo da proteggere se stessi e il proprio futuro.

Indice dei contenuti

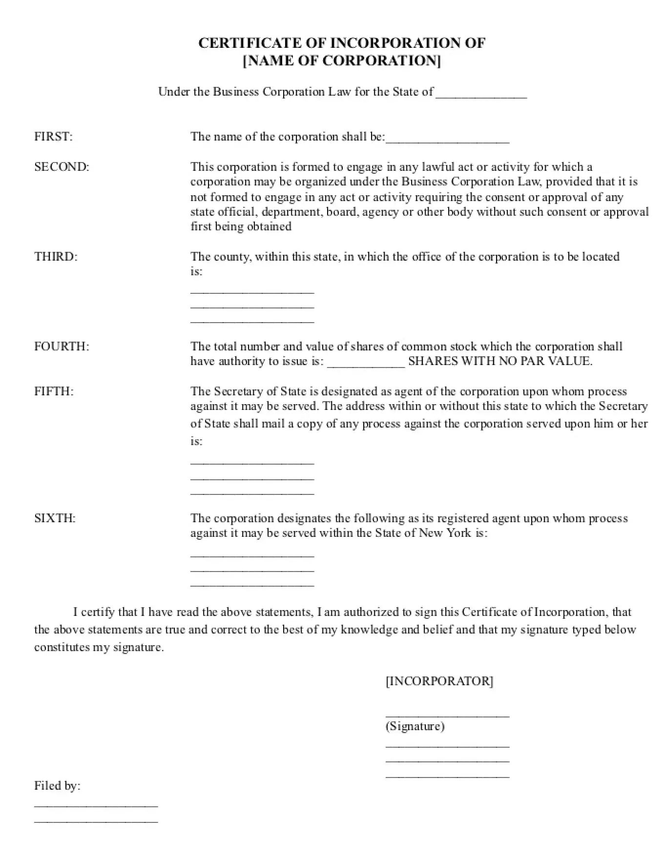
Non dovrete preoccuparvi del modello di atto costitutivo, se ne scegliete uno di cui vi potete fidare e poi inserite i dettagli della vostra attività. Questo coprirà tutti gli aspetti importanti e necessari del contratto. In questa sede, ci occuperemo di:

  • Clausole importanti
  • Le migliori pratiche
  • Suggerimenti per la sicurezza
  • Consigli sull'atto costitutivo
  • Considerazioni chiave
  • Risorse correlate

Clausole importanti negli atti costitutivi

Quando create un atto costitutivo, dovete assicurarvi di utilizzare tutte le clausole necessarie. Se si tralascia qualcosa o non si formulano correttamente le clausole, si rischia di non avere il livello di protezione necessario. Scegliendo un modello di atto costitutivo, potrete avere tutto ciò che vi serve in un unico punto, in modo da avere la sicurezza e la tranquillità di cui avete bisogno per la vostra nuova attività.

  1. Statuto - Lo statuto è l'insieme dei principi fondamentali che la società dovrà seguire. È come una costituzione per la vostra azienda.
  2. Informazioni sugli azionisti e sugli amministratori - Gli azionisti e gli amministratori della società devono essere nominati e i loro compiti/doveri devono essere indicati.
  3. Riacquisto di azioni - In alcune situazioni, la società può voler riacquistare azioni. Questo documento le consente di farlo.
  4. Foglio informativo - I termini dell'investimento in titoli o azioni, che definiscono i diritti di chi investe in queste aree.

Assicurandovi che le clausole dell'atto costitutivo siano accurate, sarete in grado di procedere con fiducia nello sviluppo della vostra azienda.

Le migliori pratiche per l'atto costitutivo

Utilizzando un modello di atto costitutivo, potrete disporre di tutto il linguaggio standard di cui avete bisogno e coprire le vostre basi legali con successo. In questo modo si riducono le possibilità che qualcosa sfugga o che non venga formulato correttamente per impostare l'azienda nel modo desiderato. L'incorporazione è una forma di protezione legale, quindi è necessario assicurarsi che sia fatta e depositata nel modo giusto. In breve:

  • Assicuratevi che tutto sia completo prima di inviarlo per la firma o di firmarlo voi stessi.
  • Non modificate i termini e il linguaggio standard che fanno parte del modello.
  • Compilate tutte le informazioni e i dettagli sulla vostra attività in modo corretto e completo.

Il modello di atto costitutivo vi dà una buona idea di ciò che potete aspettarvi, quindi non dovrete perdere molto tempo a cercare tutti i piccoli dettagli. Potrete riempire gli spazi vuoti e sapere di avere le frasi e le informazioni giuste per incorporare la vostra società.

Consigli per un atto costitutivo sicuro

Uno dei modi migliori per assicurarsi che l'atto costitutivo sia sicuro ed elaborato correttamente è quello di inviarlo per la firma in formato elettronico. Che li abbiate creati per la vostra azienda o per aiutare qualcun altro, la firma elettronica è la soluzione migliore. Quando è il momento di firmare l'atto costitutivo o qualsiasi altro tipo di contratto , utilizzate Nitro Sign per far firmare i vostri contratti o documenti importanti . È un modo rapido e sicuro per assicurarsi che tutto sia firmato e consegnato correttamente.

Consigli per la creazione di un atto costitutivo

Quando si creano e si utilizzano gli atti costitutivi, è necessario assicurarsi che si riferiscano all'attività che si sta avviando o a quella che si sta aiutando a sviluppare. Dovete creare l'atto costitutivo in modo che si riferisca al tipo di azienda, ai dirigenti e agli altri soggetti che ne hanno il controllo e a qualsiasi dettaglio che si distingua o sia unico. In questo modo si riducono le possibilità di problemi e l'incorporazione può andare avanti.

Considerazioni chiave per l'atto costitutivo

Tra le principali considerazioni da fare in merito all'atto costitutivo vi sono:

  • La giusta formulazione, per assicurarsi che l'incorporazione abbia successo.
  • La chiarezza su chi sono i dirigenti.
  • Trattare il tipo, le dimensioni e l'ambito dell'azienda.
  • Seguire le linee guida legali per lo stato di costituzione dell'azienda.
  • Capire che tipo di società si sta creando.

Con l'atto costitutivo potete aumentare la vostra protezione e sicurezza, in modo da avere l'opportunità di far crescere la vostra attività in modo sicuro e aiutarvi ad avere il massimo successo possibile per il futuro.

Fonti correlate per ulteriori informazioni

Siete pronti a saperne di più sull'atto costitutivo? Considerate queste risorse.

Definizione di atto costitutivo 
Cosa sono gli articoli di costituzione? 

DISCLAIMER: I modelli di contratto forniti sul sito web di Nitro hanno uno scopo puramente informativo e sono intesi come punto di partenza per la creazione di documenti personalizzati. I contenuti presentati, compresi i modelli, non costituiscono una consulenza legale. Nitro non rilascia alcuna dichiarazione o garanzia in merito all'accuratezza, alla completezza o all'adeguatezza delle informazioni fornite. L'uso di questi materiali è a rischio dell'utente. Si consiglia vivamente di consultare un consulente legale qualificato per garantire la conformità alle leggi e alle normative vigenti.

Scopri cosa Nitro può fare per te

Fai oggi stesso il passo vincente per il tuo futuro digitale.

Icon-48px-Rapid Support

Contatta l'ufficio vendite

Parla con i nostri esperti delle esigenze della tua azienda e valuta le vantaggiose soluzioni per PDF e firma elettronica di Nitro.
Contattaci
Icon-48px-Smart signing

Prova gratuita

Prova le soluzioni per PDF e firma elettronica di Nitro per modificare, firmare e organizzare i documenti in modo semplice e gratuito per 14 giorni.
Inizia la prova gratuita
icon of people with a plus sign

Diventa nostro partner

Le affidabili soluzioni documentali di Nitro offrono interessanti opportunità ai partner.
Diventa partner di Nitro oggi