Skip to content
PDF-Vorlage

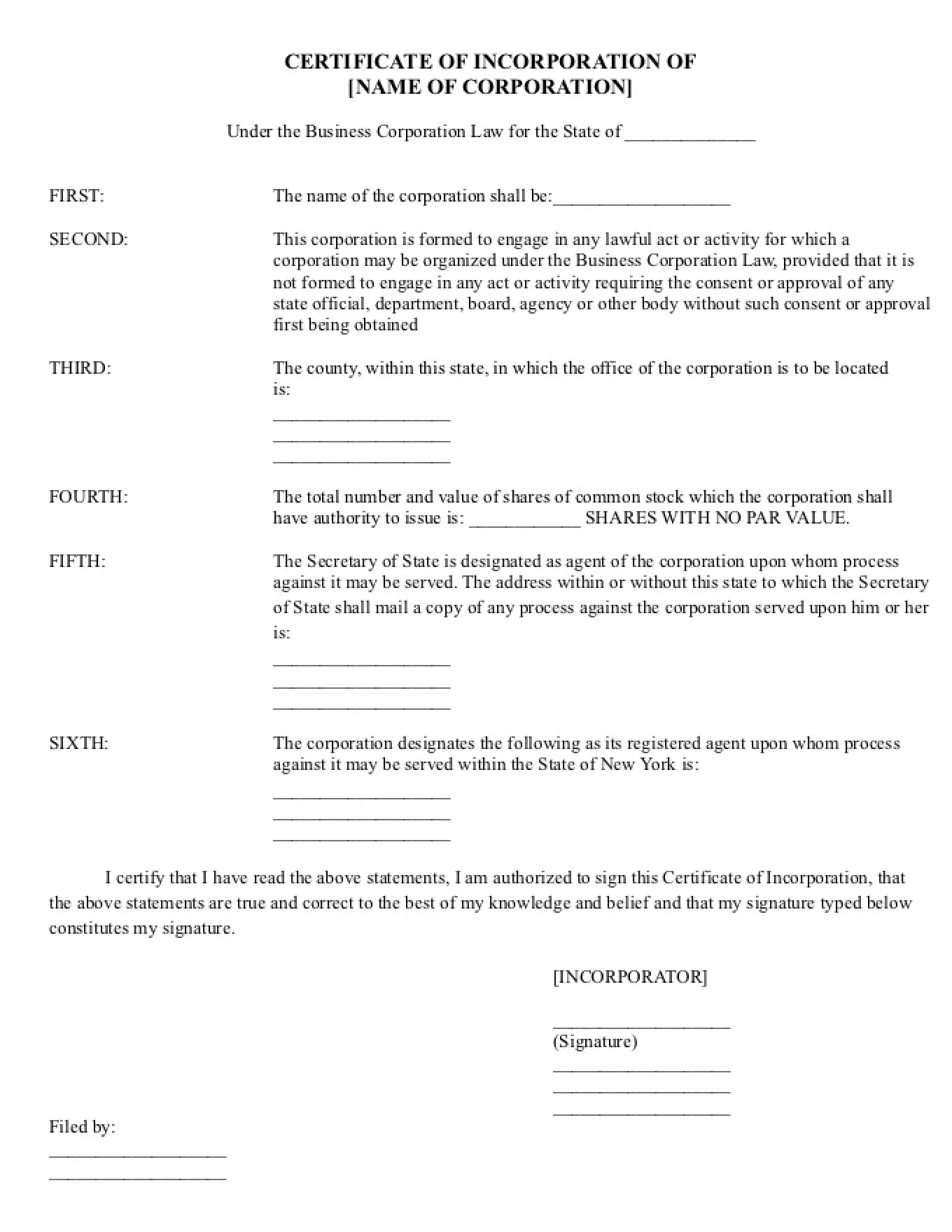
Gründungsurkunde Vorlage

Was Sie über die Gründungsurkunde wissen sollten

Sie suchen nach einer Vorlage für eine Satzung für Ihr Unternehmen? Wir haben eine Vorlage, die Sie noch heute an Ihre Bedürfnisse anpassen können.

Ein Unternehmen zu gründen kann sehr aufregend sein. Ganz gleich, ob Sie ein eigenes Unternehmen gründen oder jemandem helfen, Sie möchten sicherstellen, dass alles richtig gemacht wird. Viele Unternehmen werden gegründet, um sich zu schützen, und dazu brauchen Sie eine Satzung. Im Folgenden erfahren Sie, was Sie bei der Erstellung dieser Satzung beachten sollten, damit Sie sich und Ihre Zukunft schützen können.

Inhaltsverzeichnis

Wenn Sie eine Vorlage für Ihre Satzung wählen, der Sie vertrauen können, und dann die Details Ihres Unternehmens eintragen, brauchen Sie sich keine Sorgen zu machen. Damit sind alle wichtigen und notwendigen Aspekte des Vertrags abgedeckt. Hier werden wir Folgendes behandeln:

  • Wichtige Klauseln
  • Bewährte Praktiken
  • Tipps zur Sicherheit
  • Ratschläge zur Gründungsurkunde
  • Wichtige Überlegungen
  • Verwandte Ressourcen

Wichtige Klauseln in der Gründungsurkunde

Wenn Sie eine Satzung erstellen, müssen Sie sicherstellen, dass Sie alle Klauseln verwenden, die darin enthalten sein müssen. Wenn Sie etwas auslassen oder nicht richtig formulieren, haben Sie möglicherweise nicht den Schutz, den Sie brauchen. Wenn Sie sich für eine Vorlage für die Gründungsurkunde entscheiden, erhalten Sie alles, was Sie brauchen, an einem Ort, so dass Sie die Sicherheit und den Seelenfrieden haben, den Sie für Ihr neues Unternehmen brauchen.

  1. Statuten - Die Statuten sind die grundlegenden Regeln, die das Unternehmen befolgen wird. Sie ist so etwas wie eine Verfassung für Ihr Unternehmen.
  2. Angaben zu den Aktionären und Direktoren - Die Aktionäre und Direktoren der Gesellschaft müssen namentlich genannt und ihre Aufgaben/Pflichten festgelegt werden.
  3. Aktienrückkauf - In bestimmten Situationen möchte die Gesellschaft möglicherweise Aktien zurückkaufen. Dies ermöglicht es ihr, dies zu tun.
  4. Term Sheet - Die Bedingungen für Investitionen in Wertpapiere oder Aktien, in denen die Rechte bei Investitionen in diesen Bereichen festgelegt sind.

Wenn Sie sich vergewissern, dass die Klauseln Ihrer Gründungsurkunde korrekt sind, können Sie mit der Entwicklung Ihres Unternehmens zuversichtlich vorankommen.

Bewährte Praktiken für die Gründungsurkunde

Durch die Verwendung einer Vorlage für die Gründungsurkunde können Sie alle Standardformulierungen verwenden, die Sie benötigen, und Ihre rechtlichen Grundlagen erfolgreich abdecken. Damit verringern Sie die Gefahr, dass Ihnen etwas durch die Lappen geht oder dass Sie etwas nicht richtig formulieren, um Ihr Unternehmen so einzurichten, wie Sie es brauchen. Die Gründung eines Unternehmens ist eine Form des Rechtsschutzes, daher sollten Sie sicherstellen, dass sie auf die richtige Weise durchgeführt und eingereicht wird. Kurz und gut:

  • Vergewissern Sie sich, dass alles vollständig ist, bevor Sie es zur Unterschrift vorlegen oder es selbst unterschreiben.
  • Ändern Sie nicht die Standardbedingungen und -formulierungen, die Bestandteil der Vorlage sind.
  • Füllen Sie alle Informationen und Details über Ihr Unternehmen korrekt und vollständig aus.

Die Vorlage für die Gründungsurkunde gibt Ihnen einen guten Überblick über das, was Sie erwarten können, so dass Sie nicht viel Zeit damit verbringen müssen, sie nach all den kleinen Nebensächlichkeiten zu durchsuchen. Sie können die Lücken ausfüllen und sicher sein, dass Sie die richtigen Formulierungen und Informationen haben, um Ihr Unternehmen zu gründen.

Tipps für eine sichere Gründungsurkunde

Eine der besten Möglichkeiten, um sicherzustellen, dass Ihre Gründungsurkunde sicher ist und korrekt verarbeitet wird, besteht darin, sie elektronisch zur Unterschrift zu übermitteln. Unabhängig davon, ob Sie sie für Ihr eigenes Unternehmen oder für eine andere Person erstellt haben, ist die elektronische Unterzeichnung die beste Lösung. Wenn es an der Zeit ist, Ihre Gründungsurkunde oder eine andere Art von Vertrag zu unterzeichnen , verwenden Sie Nitro Sign, um Ihre Verträge oder wichtigen Dokumente unterzeichnen zu lassen . Es ist eine schnelle und sichere Methode, um sicherzustellen, dass alles ordnungsgemäß unterzeichnet und zugestellt wird.

Ratschläge zur Erstellung von Gesellschaftsverträgen

Wenn Sie eine Satzung erstellen und verwenden, sollten Sie sicherstellen, dass sie auf das Unternehmen zugeschnitten ist, das Sie gründen oder bei dessen Aufbau Sie jemandem helfen. Sie müssen die Satzung so verfassen, dass sie die Art des Unternehmens, die leitenden Angestellten und andere Personen, die die Kontrolle über das Unternehmen haben, sowie alle Details, die hervorstechen oder einzigartig sind, anspricht. Das verringert die Wahrscheinlichkeit von Problemen, so dass die Gründung vorangetrieben werden kann.

Wichtige Überlegungen zur Gründungsurkunde

Zu den wichtigsten Überlegungen im Zusammenhang mit der Gründungsurkunde gehören:

  • Der richtige Wortlaut, um sicherzustellen, dass Sie erfolgreich gründen können.
  • Es muss klar sein, wer die leitenden Angestellten sind.
  • Berücksichtigung der Art, Größe und des Umfangs des Unternehmens.
  • Befolgung der gesetzlichen Richtlinien für den Staat, in dem das Unternehmen gegründet wird.
  • Verstehen, welche Art von Unternehmen gegründet werden soll.

Mit einer Gründungsurkunde können Sie Ihren Schutz und Ihre Sicherheit erhöhen, so dass Sie die Möglichkeit haben, Ihr Unternehmen auf eine sichere Art und Weise zu entwickeln, die Ihnen helfen wird, in Zukunft so erfolgreich wie möglich zu sein.

Verwandte Quellen für zusätzliche Informationen

Möchten Sie mehr über die Gründungsurkunde erfahren? Beachten Sie diese Quellen.

Eine Definition der Gründungsurkunde (Articles of Incorporation) 
Was sind Gründungsurkunden? 

HAFTUNGSAUSSCHLUSS: Die auf der Nitro-Website zur Verfügung gestellten Vertragsvorlagen dienen nur zu Informationszwecken und sind als Ausgangspunkt für die Erstellung individueller Dokumente gedacht. Der hier gezeigte Inhalt, einschließlich der Vorlagen, stellt keine Rechtsberatung dar. Nitro gibt keine Zusicherungen oder Garantien hinsichtlich der Richtigkeit, Vollständigkeit oder Eignung der bereitgestellten Informationen. Die Verwendung dieser Materialien erfolgt auf eigene Gefahr. Wir empfehlen dringend, einen qualifizierten Rechtsbeistand zu konsultieren, um die Einhaltung der geltenden Gesetze und Vorschriften sicherzustellen.

Sehen Sie, was Nitro für Sie tun kann

Machen Sie noch heute den nächsten Schritt, um digital erfolgreich zu sein.

Icon-48px-Rapid Support

Vertrieb kontaktieren

Sprechen Sie mit unseren Experten über Ihre geschäftlichen Anforderungen und entdecken Sie kostengünstige Optionen für die erstklassigen PDF- und eSigning-Lösungen von Nitro.
Nehmen Sie Kontakt auf
Icon-48px-Smart signing

Kostenlose Testversion

Testen Sie die PDF- und eSigning-Lösungen von Nitro, um Dokumente mühelos zu bearbeiten, zu signieren und zu organisieren – 14 Tage lang kostenlos!
Starten Sie Ihre kostenlose Testversion
icon of people with a plus sign

Registrierung als Partner

Erfahren Sie mehr über unsere spannenden Möglichkeiten als Partner für die vertrauenswürdigen Dokumentenlösungen von Nitro.
Werden Sie noch heute Partner von Nitro