Skip to content
Modello PDF

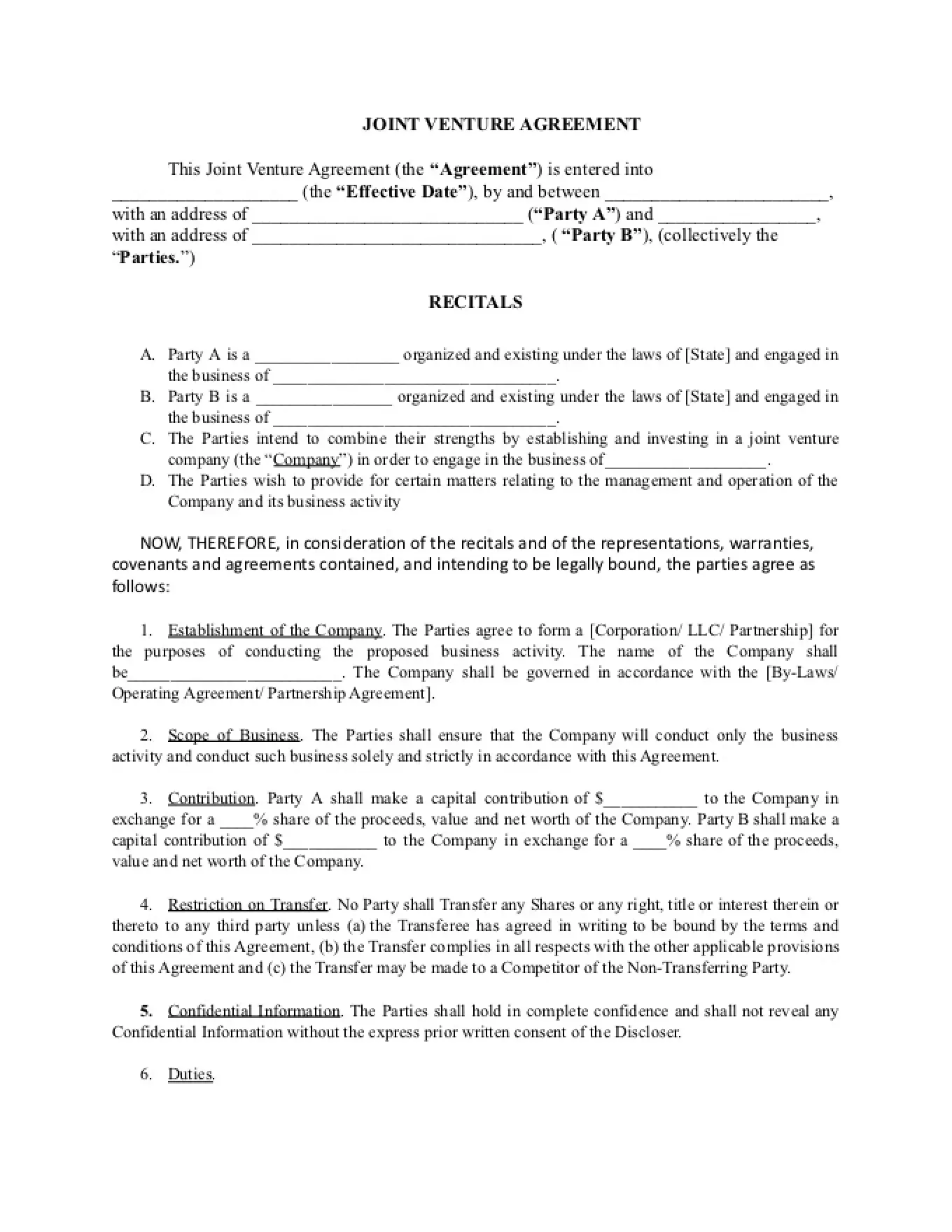
Accordo di joint venture

Un accordo di joint venture affronta i rischi principali descrivendo i diritti e le responsabilità dei partner commerciali. Inoltre, evidenzia le procedure per la risoluzione delle controversie. Per quanto importante, questo contratto può essere difficile da capire. Per chiarire questo aspetto, vi spieghiamo quanto segue:

  • Clausole importanti che ogni accordo di joint venture dovrebbe includere
  • Le migliori pratiche per personalizzare un modello di accordo di joint venture

Clausole importanti che ogni accordo di joint venture dovrebbe includere

Un modello di accordo di joint venture completo comprende le seguenti clausole:

  • Identificazione di tutte le parti coinvolte nella joint venture, chepossono essere indicate come "parte A" e "parte B". I loro nomi e indirizzi devono essere comunicati all'inizio del documento. Si devono anche menzionare le loro intenzioni commerciali. Ad esempio: "La parte A è impegnata nell'attività di ____".
  • Descrivere l'ambito dell'impresa. Spiegare quale tipo di entità le parti identificate intendono costituire. Le opzioni possono includere società di capitali, SRL o società in nome collettivo. Questa sezione può includere anche il nome della nuova società, nonché la necessità di gestirla in base alle clausole dell'accordo di partnership o dello statuto.
  • Apporti di capitale e quote ricevute: le parti identificate nel contratto potrebbero non essere in grado di apportare la stessa quantità di capitale. Per questo motivo, il documento deve indicare l'importo che ciascuna parte apporterà, nonché la quota dell'azienda che verrà concessa in cambio di tale capitale.
  • Oltre a fornire il capitale, chi sottoscrive un accordo di joint venture può essere chiamato a svolgereresponsabilità distinte. Queste devono essere chiaramente definite nell'accordo.
  • Descrizione delle situazioni di inadempimento e dei rimedi. Evidenziare le varie situazioni che costituiscono un inadempimento contrattuale. Tra gli esempi si possono citare il fallimento, le imposizioni o le violazioni dell'accordo. Il contratto deve anche spiegare come si procederà alla risoluzione del contratto in caso di inadempienza.

Migliori pratiche per personalizzare un modello di accordo di joint venture

Sebbene un modello di contratto di joint venture includa in genere tutte le clausole essenziali sopra descritte, questi documenti devono essere adattati secondo le necessità per riflettere le realtà della specifica impresa.

Queste best practice dovrebbero garantire che ogni modello sia utilizzato in modo appropriato:

  • Se siete in buoni rapporti con l'altra persona coinvolta nella joint venture, potete essere tentati di accettare accordi che non portano benefici a voi o ai vostri profitti nel lungo periodo. Nell'esaminare l'accordo di joint venture, ricordate che è vero il luogo comune "non è personale, sono solo affari".
  • Prima difirmareun accordo di joint venture, dovreste essere sicuri al 100% che sia stato personalizzato in modo da riflettere il futuro che desiderate per la vostra azienda. Osservate attentamente ogni dettaglio per assicurarvi che il documento fornisca la piena protezione che meritate.
  • Prevedere la possibilità di modificare l'accordo. Nel corso del tempo, alcuni aspetti dell'accordo di joint venture potrebbero non essere più rilevanti. Per questo motivo, il modello dovrebbe includere una disposizione che consenta di apportare modifiche, a condizione che queste siano concordate da tutte le parti e compilate per iscritto.

Come far firmare un accordo di joint venture

Una volta esaminati i modelli di accordo di joint venture e apportate le opportune modifiche, è il momento di compiere il passo finale e far firmare il documento a entrambe le parti.

Con le firme multiple è necessario garantire una maggiore sicurezza; una soluzione come NitroSign può essere d'aiuto. Non esitate a iscrivervi alla nostra  prova gratuita , che dimostrerà il valore del nostro flusso di lavoro eSign semplificato.

DISCLAIMER: I modelli di contratto forniti sul sito web di Nitro hanno uno scopo puramente informativo e sono intesi come punto di partenza per la creazione di documenti personalizzati. Il contenuto illustrato, compresi i modelli, non costituisce una consulenza legale. Nitro non rilascia alcuna dichiarazione o garanzia in merito all'accuratezza, alla completezza o all'adeguatezza delle informazioni fornite. L'uso di questi materiali è a rischio dell'utente. Si consiglia vivamente di consultare un consulente legale qualificato per garantire la conformità alle leggi e alle normative vigenti.

  

Scopri cosa Nitro può fare per te

Fai oggi stesso il passo vincente per il tuo futuro digitale.

Icon-48px-Rapid Support

Contatta l'ufficio vendite

Parla con i nostri esperti delle esigenze della tua azienda e valuta le vantaggiose soluzioni per PDF e firma elettronica di Nitro.
Contattaci
Icon-48px-Smart signing

Prova gratuita

Prova le soluzioni per PDF e firma elettronica di Nitro per modificare, firmare e organizzare i documenti in modo semplice e gratuito per 14 giorni.
Inizia la prova gratuita
icon of people with a plus sign

Diventa nostro partner

Le affidabili soluzioni documentali di Nitro offrono interessanti opportunità ai partner.
Diventa partner di Nitro oggi