Skip to content
PDF-sjabloon

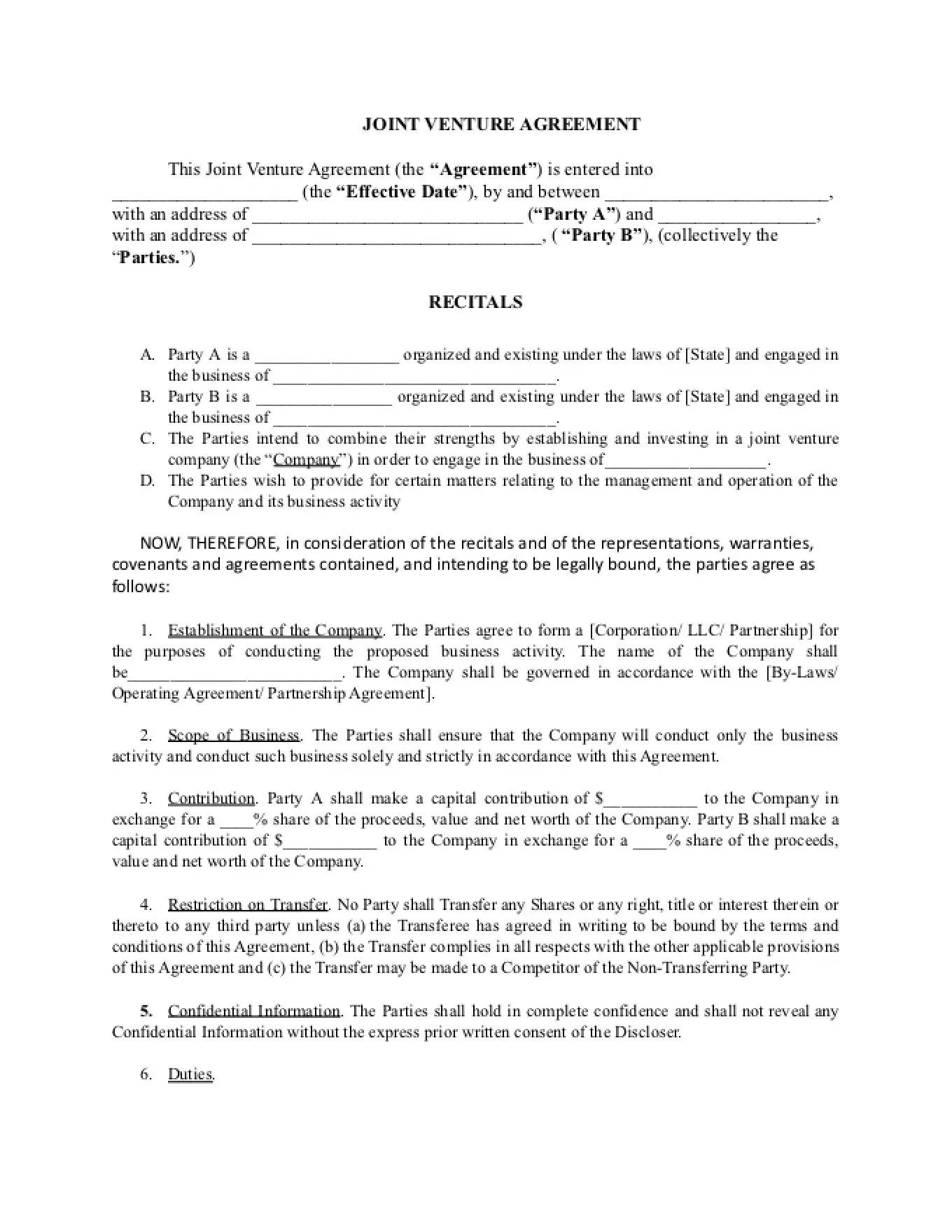
Joint Venture-overeenkomst

Een joint venture overeenkomst pakt de belangrijkste risico's aan door de rechten en verantwoordelijkheden van zakenpartners te beschrijven. Er worden ook procedures in beschreven voor het oplossen van geschillen. Hoe belangrijk dit contract ook is, het kan moeilijk te begrijpen zijn. Ter verduidelijking leggen we hieronder het volgende uit:

  • Belangrijke clausules die in elke joint venture overeenkomst moeten staan
  • Best Practices voor het aanpassen van een sjabloon voor een joint venture overeenkomst

Belangrijke clausules die elke joint venture overeenkomst moet bevatten

Een goed sjabloon voor een joint venture overeenkomst bevat de volgende bepalingen:

  • Identificatie van alle partijen die betrokken zijn bij de joint venture. Deze personen kunnen worden aangeduid als "partij A" en "partij B". Hun namen en adressen moeten worden gedeeld aan het begin van het document. Hun zakelijke intenties moeten ook worden vermeld. Bijvoorbeeld: "Partij A houdt zich bezig met ____."
  • Beschrijf de reikwijdte van de onderneming. Leg uit welk type entiteit de geïdentificeerde partijen van plan zijn op te richten. Dit kunnen bijvoorbeeld vennootschappen, LLC's of vennootschappen onder firma zijn. Dit onderdeel kan ook de naam van het nieuw gevormde bedrijf bevatten, evenals de noodzaak om het te exploiteren onder de bepalingen van de bijbehorende partnerschapsovereenkomst of statuten.
  • Kapitaalinbreng en ontvangen aandelen.Het is mogelijk dat de partijen die in het contract worden genoemd niet in staat zijn om dezelfde hoeveelheid kapitaal in te brengen. Daarom moet het document aangeven hoeveel elke partij bijdraagt en welk aandeel in het bedrijf wordt toegekend in ruil voor dat kapitaal.
  • Toegewezen verantwoordelijkheden. Naast het verschaffen van kapitaal kan van degenen die een joint venture ondertekenen worden verlangd dat ze afzonderlijke verantwoordelijkheden uitvoeren. Deze moeten duidelijk worden omschreven in de overeenkomst.
  • Beschrijving van wanbetalingssituaties en rechtsmiddelen. Benadruk de verschillende situaties die een wanprestatie vormen. Voorbeelden hiervan zijn faillissement, heffingen of schendingen van de overeenkomst. De overeenkomst moet ook uitleggen hoe beëindiging in het geval van een verzuim in zijn werk gaat.

Best Practices voor het aanpassen van een sjabloon voor een joint venture overeenkomst

Hoewel een sjabloon voor een joint venture overeenkomst doorgaans alle essentiële clausules bevat die hierboven zijn beschreven, moeten deze documenten waar nodig worden aangepast om de realiteit van de specifieke joint venture te weerspiegelen.

Deze best practices moeten ervoor zorgen dat elk sjabloon op de juiste manier wordt gebruikt:

  • Focus op uw eigen belangen Als u op goede voet staat met de andere persoon die betrokken is bij de joint venture, kan het verleidelijk zijn om toe te geven aan afspraken die niet echt gunstig zijn voor u of uw bedrijfsresultaten op de lange termijn. Onthoud bij het bestuderen van de joint venture overeenkomst dat er veel waarheid schuilt in het cliché "het is niet persoonlijk, het zijn gewoon zaken".
  • Dubbelcheck het document voordat je het ondertekent. Voordat je een joint venture overeenkomst ondertekent, moet je er 100 procent zeker van zijn dat het is aangepast aan de door jou gewenste toekomst voor je bedrijf. Bekijk elk detail nauwkeurig om er zeker van te zijn dat het document de volledige bescherming biedt die je verdient.
  • Bied mogelijkheden om de overeenkomst aan te passen. Na verloop van tijd kan het zijn dat bepaalde aspecten van de joint venture overeenkomst niet langer relevant blijken te zijn. Daarom moet het sjabloon een bepaling bevatten die wijzigingen toestaat, zolang deze door alle partijen worden goedgekeurd en schriftelijk worden ingevuld.

Een joint venture overeenkomst laten ondertekenen

Nadat je de sjablonen voor joint ventures hebt bestudeerd en de juiste aanpassingen hebt gemaakt, is het tijd om de laatste stap te zetten en beide partijen het document te laten ondertekenen.

Met meerdere handtekeningen komt de extra behoefte aan beveiliging; een oplossing zoals NitroSign kan hierbij helpen. Voel je vrij om je aan te melden voor onze  gratis proefversie , die de waarde van onze gestroomlijnde eSign-workflow zal demonstreren.

DISCLAIMER: De contractsjablonen op de website van Nitro zijn uitsluitend bedoeld voor informatieve doeleinden en zijn bedoeld als uitgangspunt voor het maken van aangepaste documenten. De inhoud, inclusief de sjablonen, vormt geen juridisch advies. Nitro geeft geen verklaringen of garanties met betrekking tot de nauwkeurigheid, volledigheid of geschiktheid van de verstrekte informatie. Het gebruik van deze materialen is op eigen risico. Wij raden u ten zeerste aan gekwalificeerd juridisch advies in te winnen om er zeker van te zijn dat de toepasselijke wet- en regelgeving wordt nageleefd.

  

Ontdek wat Nitro voor u kan doen

Zet vandaag nog de volgende stap naar digitaal succes.

Icon-48px-Rapid Support

Neem contact op met Sales

Praat met onze experts over de behoeften van uw bedrijf en ontdek kosteneffectieve opties voor ’de PDF- en eSign-oplossingen van Nitro van wereldklasse.
Neem contact op
Icon-48px-Smart signing

Gratis proefperiode

Probeer de PDF- en eSign-oplossingen van Nitro om documenten moeiteloos te bewerken, ondertekenen en organiseren: gratis voor 14 dagen!
Start uw gratis proefperiode
icon of people with a plus sign

Word een partner

Meer informatie over onze interessante partnermogelijkheden voor ’de betrouwbare documentoplossingen van Nitro.
Word vandaag nog partner met Nitro