Skip to content
Modèle PDF

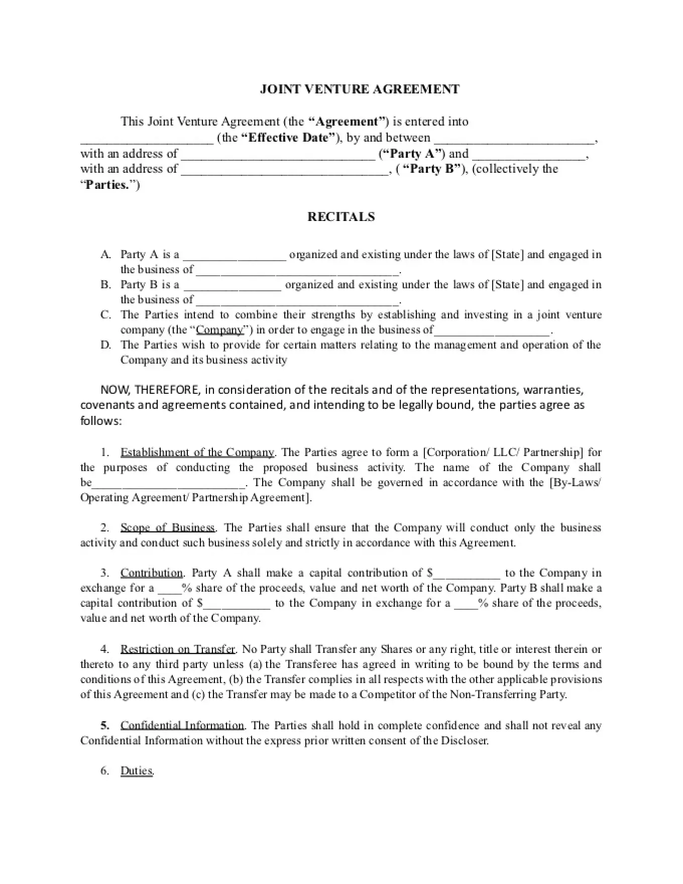
Accord d'entreprise commune

Un accord de coentreprise aborde les principaux risques en décrivant les droits et les responsabilités des partenaires commerciaux. Il met également en évidence les procédures de résolution des litiges. Aussi important que soit ce contrat, il peut être difficile à comprendre. Pour y remédier, nous vous proposons les explications suivantes :

  • Clauses importantes à inclure dans tout contrat de joint venture
  • Meilleures pratiques pour personnaliser un modèle de contrat de joint venture

Clauses importantes à inclure dans tout contrat de joint venture

Un modèle de contrat de joint venture bien conçu comprendra les dispositions suivantes :

  • Identification de toutes les parties impliquées dans la joint venture : ces personnes peuvent être appelées "partie A" et "partie B". Leurs noms et adresses doivent être communiqués dès le début du document. Leurs intentions commerciales doivent également être mentionnées. Par exemple : "La partie A est engagée dans l'activité de ____."
  • Décrivez la portée de l'entreprise et expliquez quel type d'entité les parties identifiées ont l'intention de former. Il peut s'agir d'une société par actions, d'une société à responsabilité limitée ou d'une société en nom collectif. Cette section peut également inclure le nom de la société nouvellement créée, ainsi que la nécessité de l'exploiter conformément aux dispositions du contrat de société ou des statuts qui l'accompagnent.
  • Apports en capital et parts reçues :il se peut que les parties identifiées dans le contrat ne soient pas en mesure d'apporter le même montant de capital. Le document doit donc préciser le montant de l'apport de chaque partie, ainsi que la part de l'entreprise qui sera accordée en échange de ce capital.
  • Responsabilités attribuées : outre l'apport de capital, les signataires de l'accord de coentreprise peuvent être tenus d'assumer des responsabilités distinctes. Celles-ci doivent être clairement définies dans l'accord.
  • Description des situations d'inexécution et des recours : soulignez les différentes situations qui constituent une inexécution du contrat. Il peut s'agir, par exemple, d'une faillite, d'une saisie ou d'une violation de l'accord. Le contrat doit également préciser les modalités de résiliation en cas d'inexécution.

Bonnes pratiques pour personnaliser un modèle de contrat de joint venture

Bien qu'un modèle de contrat de joint venture comprenne généralement toutes les clauses essentielles mentionnées ci-dessus, ces documents doivent être adaptés en fonction des réalités de la joint venture concernée.

Ces bonnes pratiques devraient permettre de s'assurer que chaque modèle est utilisé de manière appropriée :

  • Concentrez-vous sur vos propres intérêts : si vous êtes en bons termes avec l'autre personne impliquée dans la coentreprise, il peut être tentant de céder à des arrangements qui ne sont pas réellement avantageux pour vous ou pour vos résultats à long terme. Lorsque vous examinez l'accord de coentreprise, n'oubliez pas que le cliché "ce n'est pas personnel, c'est juste professionnel" a une grande part de vérité.
  • Vérifiez le document avantde le signer: avant de signer un accord de coentreprise, vous devez être sûr à 100 % qu'il a été personnalisé pour refléter l'avenir que vous souhaitez pour votre entreprise. Examinez attentivement chaque détail pour vous assurer que le document vous offre la protection totale que vous méritez.
  • Prévoyez des possibilités de modification de l'accord : au fil du temps, certains aspects de l'accord de coentreprise peuvent ne plus être pertinents. C'est pourquoi le modèle doit comporter une disposition autorisant les modifications, à condition qu'elles soient approuvées par toutes les parties et consignées par écrit.

Comment faire signer un contrat de joint venture ?

Une fois que vous avez examiné les modèles de contrat de joint venture et apporté les modifications nécessaires, il est temps de passer à l'étape finale et de faire signer le document par les deux parties.

Les signatures multiples s'accompagnent d'un besoin supplémentaire de sécurité ; une solution telle que NitroSign peut vous aider. N'hésitez pas à vous inscrire à notre  essai gratuit , qui vous démontrera la valeur de notre flux de travail eSign rationalisé.

CLAUSE DE NON-RESPONSABILITÉ: Les modèles de contrat fournis sur le site web de Nitro sont uniquement destinés à des fins d'information et sont conçus comme un point de départ pour la création de documents personnalisés. Le contenu présenté ici, y compris les modèles, ne constitue pas un avis juridique. Nitro ne fait aucune déclaration et ne donne aucune garantie quant à l'exactitude, l'exhaustivité ou l'adéquation des informations fournies. L'utilisation de ces documents se fait à vos propres risques. Nous vous recommandons vivement de consulter un conseiller juridique qualifié pour vous assurer de la conformité avec les lois et réglementations applicables.

  

Découvrez ce que Nitro peut faire pour vous

Passez dès aujourd’hui à l’étape suivante vers le succès numérique.

Icon-48px-Rapid Support

Contacter le service commercial

Exposez vos besoins commerciaux à nos experts et découvrez des options rentables pour les solutions PDF et eSign de classe mondiale de Nitro.
Contactez-nous
Icon-48px-Smart signing

Faites l’essai gratuit

Essayez les solutions PDF et eSign de Nitro pour modifier, signer et organiser des documents facilement, et gratuitement pendant 14 jours !
Commencer votre essai gratuit
icon of people with a plus sign

Devenezr partenaire

Découvrez nos grandes opportunités de partenariat autour des solutions documentaires de confiance de Nitro.
Devenir partenaire Nitro dès aujourd'hui