Skip to content
Modèle PDF

Modèle de statuts

Ce qu'il faut savoir sur les statuts

Vous cherchez un modèle de statuts pour votre entreprise ? Nous avons un modèle prêt à être adapté à vos besoins dès aujourd'hui.

La création d'une entreprise peut être très excitante. Que vous lanciez votre propre entreprise ou que vous aidiez quelqu'un d'autre, vous voulez vous assurer que les choses se déroulent correctement. Beaucoup d'entreprises se constituent en société pour se protéger, et pour ce faire, elles ont besoin d'articles de constitution. Voici ce dont vous devez tenir compte lorsque vous créez ces statuts, afin de vous protéger et de protéger votre avenir.

Table des matières

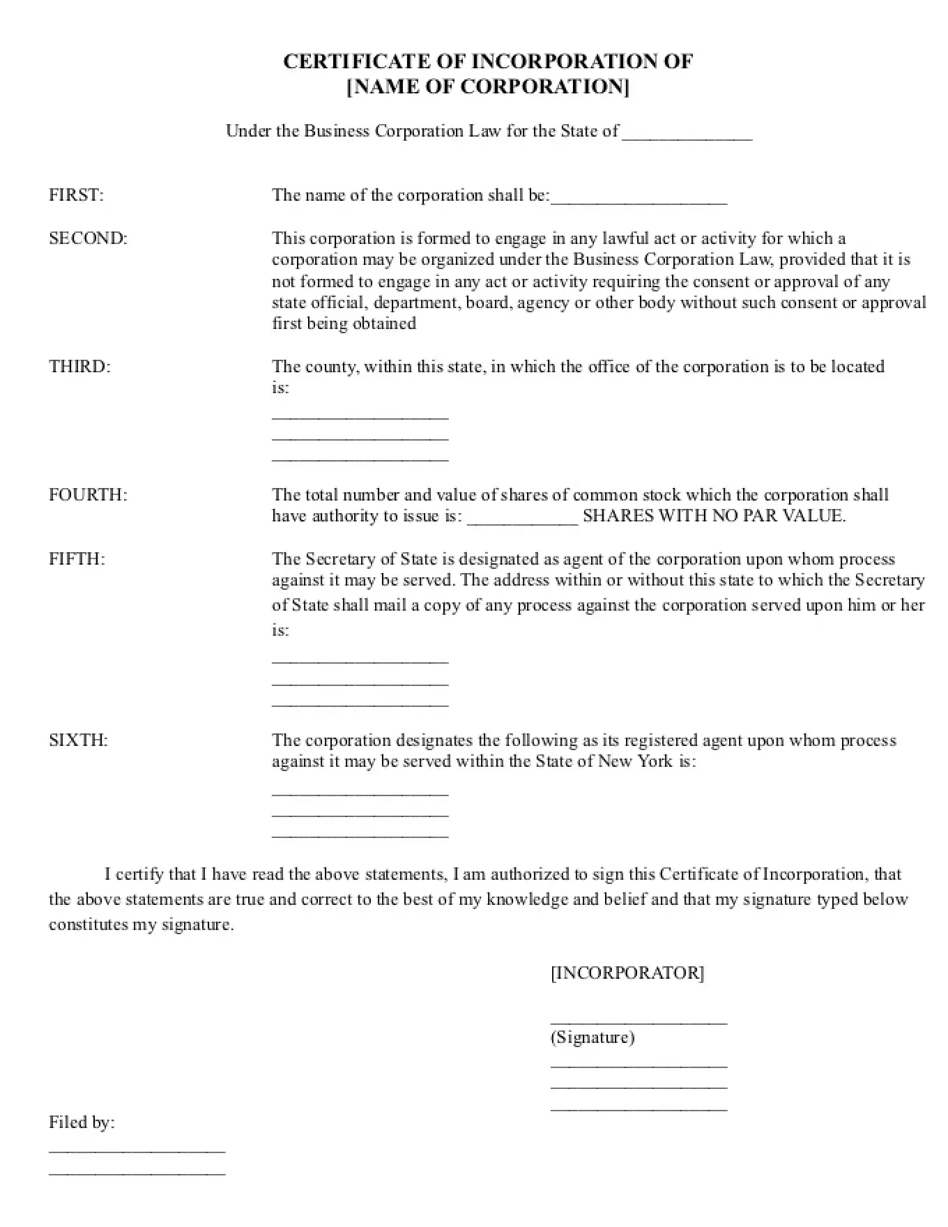
Vous n'aurez aucun souci à vous faire au sujet de votre modèle de statuts, si vous en choisissez un auquel vous pouvez faire confiance et si vous y inscrivez les détails de votre entreprise. Ce modèle couvrira tous les aspects importants et nécessaires du contrat. Nous aborderons ici les points suivants :

  • Clauses importantes
  • Les meilleures pratiques
  • Conseils en matière de sécurité
  • Conseils sur les statuts
  • Considérations clés
  • Ressources connexes

Clauses importantes des statuts de société

Lorsque vous créez des statuts de constitution, vous devez vous assurer que vous utilisez toutes les clauses qui doivent y figurer. Si vous omettez quelque chose ou si vous ne formulez pas les choses correctement, vous risquez de ne pas bénéficier du niveau de protection dont vous avez besoin. En choisissant un modèle d'articles de constitution en société, vous pouvez obtenir tout ce dont vous avez besoin en un seul endroit, afin d'assurer la sécurité et la tranquillité d'esprit dont vous avez besoin pour votre nouvelle entreprise.

  1. Règlements - Les règlements sont les principes de base auxquels la société devra se conformer. C'est un peu comme la constitution de votre entreprise.
  2. Informations sur les actionnaires et les administrateurs - Les actionnaires et les administrateurs de la société doivent être nommés et leurs devoirs et obligations doivent être précisés.
  3. Rachat d'actions - Dans certaines situations, la société peut vouloir racheter des actions. Cela lui permet de le faire.
  4. Fiche d'information - Conditions d'investissement dans des titres ou des actions, précisant les droits des investisseurs dans ces domaines.

En veillant à l'exactitude des clauses de vos statuts, vous pourrez avancer en toute confiance dans le développement de votre entreprise.

Meilleures pratiques en matière de statuts de société

L'utilisation d'un modèle de statuts de constitution vous permet de disposer de toutes les clauses types dont vous avez besoin et de couvrir vos bases juridiques avec succès. Cela permet de réduire les risques que quelque chose passe à travers les mailles du filet ou que vous ne formuliez pas les choses correctement pour mettre en place votre entreprise comme vous le souhaitez. La constitution d'une société est une forme de protection juridique ; vous devez donc veiller à ce qu'elle soit effectuée et déposée de la bonne manière. En bref :

  • Assurez-vous que tout est complet avant d'envoyer le document pour signature ou de le signer vous-même.
  • Ne modifiez pas les termes et la formulation standard qui font partie du modèle.
  • Remplissez toutes les informations et tous les détails concernant votre entreprise de manière correcte et complète.

Le modèle d'acte de constitution vous donne une bonne idée de ce à quoi vous pouvez vous attendre, de sorte que vous ne perdrez pas beaucoup de temps à le parcourir pour trouver tous les petits détails. Vous pouvez remplir les blancs, tout en sachant que vous disposez de la bonne formulation et des bonnes informations pour constituer votre société.

Conseils pour des statuts sûrs

L'un des meilleurs moyens de s'assurer que vos statuts sont sécurisés et traités correctement est de les envoyer pour signature par voie électronique. Que vous les ayez créés pour votre propre entreprise ou pour aider quelqu'un d'autre, la signature électronique est la meilleure solution. Lorsque le moment est venu de signer vos statuts ou tout autre type de contrat , utilisez Nitro Sign pour faire signer vos contrats ou vos documents importants . C'est un moyen rapide et sûr de s'assurer que tout est signé et remis en bonne et due forme.

Conseils sur la création de statuts

Lorsque vous créez et utilisez des statuts, vous devez vous assurer qu'ils s'appliquent à l'entreprise que vous créez ou à celle que vous aidez à développer. Vous devez rédiger les statuts de manière à ce qu'ils reflètent le type d'entreprise, les dirigeants et les autres personnes qui en ont le contrôle, ainsi que tous les détails susceptibles de se démarquer ou d'être uniques. Cela réduit les risques de problèmes et permet de poursuivre la constitution de l'entreprise.

Principaux éléments à prendre en compte pour les statuts de société

Voici quelques-unes des principales considérations relatives aux statuts d'une société :

  • Le bon libellé, afin de s'assurer que la constitution en société sera couronnée de succès.
  • La clarté de l'identité des dirigeants.
  • Prendre en compte le type, la taille et le champ d'action de l'entreprise.
  • Respecter les directives légales de l'État dans lequel l'entreprise est constituée.
  • comprendre quel type de société est créé.

Les statuts de la société vous permettent de renforcer votre protection et votre sécurité, afin que vous puissiez développer votre entreprise en toute sécurité et que vous puissiez connaître le plus grand succès possible à l'avenir.

Sources connexes pour plus d'informations

Vous souhaitez en savoir plus sur les statuts de société ? Consultez les ressources suivantes.

Définition des statuts de société 
Qu'est-ce que les statuts ? 

AVERTISSEMENT: Les modèles de contrat proposés sur le site web de Nitro sont fournis à titre d'information uniquement et sont destinés à servir de point de départ à la création de documents personnalisés. Le contenu de ce site, y compris les modèles, ne constitue pas un avis juridique. Nitro ne donne aucune garantie quant à l'exactitude, l'exhaustivité ou l'adéquation des informations fournies. L'utilisation de ces documents se fait à vos propres risques. Nous vous recommandons vivement de consulter un conseiller juridique qualifié pour vous assurer de la conformité avec les lois et réglementations applicables.

Découvrez ce que Nitro peut faire pour vous

Passez dès aujourd’hui à l’étape suivante vers le succès numérique.

Icon-48px-Rapid Support

Contacter le service commercial

Exposez vos besoins commerciaux à nos experts et découvrez des options rentables pour les solutions PDF et eSign de classe mondiale de Nitro.
Contactez-nous
Icon-48px-Smart signing

Faites l’essai gratuit

Essayez les solutions PDF et eSign de Nitro pour modifier, signer et organiser des documents facilement, et gratuitement pendant 14 jours !
Commencer votre essai gratuit
icon of people with a plus sign

Devenezr partenaire

Découvrez nos grandes opportunités de partenariat autour des solutions documentaires de confiance de Nitro.
Devenir partenaire Nitro dès aujourd'hui