Skip to content
Plantilla PDF

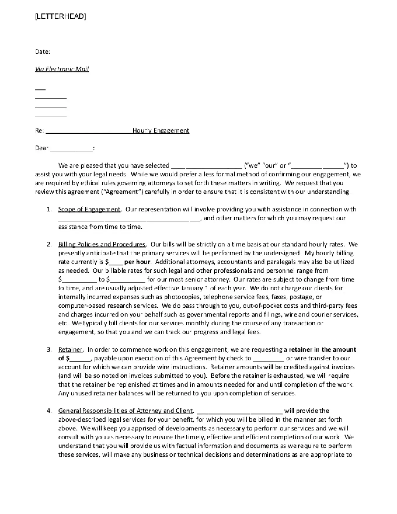
Contrato de representación jurídica a precio fijo

Consejos para utilizar una plantilla de representación legal a precio fijo

¿Busca un contrato de representación legal a precio fijo para su empresa? Tenemos una plantilla lista para adaptarla a sus necesidades.

Al contratar a un cliente para una representación legal, los abogados necesitan contratos legalmente vinculantes para definir claramente lo que van a ofrecer y lo que no. Este importante documento deja claras las expectativas al tiempo que garantiza la protección del abogado frente a reclamaciones o quejas falsas.

En esta sección, cubriremos:

  • Contenido Básico de una Plantilla de Acuerdo de Representación Legal
  • Cláusulas a considerar
  • Errores a Evitar
  • Mejores Prácticas
  • Firmas e Iniciales

Contenido básico de un modelo de acuerdo de representación legal

En su plantilla de acuerdo de representación legal, necesitará:

  • Nombres de ambas partes
  • Alcance del compromiso
  • Honorarios y condiciones de pago
  • Cómo finalizar el acuerdo abogado/cliente
  • Firmas de ambas partes

Cláusulas a tener en cuenta

Aunque tendrá que adaptar su contrato de representación legal a las necesidades específicas de su empresa, hay ciertas cláusulas que suelen contener estos documentos. Entre ellas se incluyen

  • Cláusula de Alcance del Compromiso - Aquí puede definir los servicios específicos que va a prestar. Personalícela con los servicios que presta a su cliente.
  • Cláusula sobre políticas de facturación: asegúrate de que te pagan indicando claramente cómo vas a facturar y cobrar a tus clientes. Esto también te da un espacio para reservarte el derecho a aumentar tus honorarios si cambia el alcance del trabajo. En esta sección, indique si cobrará honorarios por hora, honorarios condicionales u honorarios fijos.
  • Cláusula de responsabilidades generales - Esta cláusula indica que el abogado y el cliente asumirán las mismas responsabilidades. Asegúrese de estipular que el cliente tiene que darle todos los detalles importantes.
  • Otros términos - Esta área del contrato le da espacio para esbozar cualquier otro término y condición que necesite. En esta sección, debes indicar que cualquier cambio en el contrato debe hacerse por escrito y con la firma de ambas partes.

Errores a evitar

Un modelo de contrato de representación legal es bastante sencillo, pero hay que tener cuidado para evitar estos problemas comunes:

  • No estipular cómo se paga al abogado. Los abogados suelen cobrar honorarios por hora, pero también puede considerar un acuerdo de honorarios condicionales o fijos si sus servicios jurídicos son de naturaleza relativamente sencilla.
  • No fijar límites. Asegúrese de que el contrato establece claramente hasta dónde llega su representación. Dése una salida si el caso no va como el cliente quiere.
  • No abordar la representación ante los tribunales. Si su tipo de asunto legal tiene la posibilidad de llegar a los tribunales, asegúrese de estipular quién representará a su cliente ante los tribunales.

Mejores prácticas para las plantillas de acuerdos de representación legal

Para asegurarse de que su plantilla de acuerdo de representación legal es eficaz, tenga en cuenta estos consejos:

  • Sea claro pero sencillo. Demasiada información puede abrumar a su cliente.
  • Indique cuándo finaliza la relación abogado-cliente. Esta declaración puede dar al abogado o al cliente el derecho a poner fin a la relación, pero debe ser clara.
  • Indique cómo se gestionan los expedientes de los clientes y qué coste debe pagar el cliente para obtener sus expedientes.
  • Consiga iniciales y firmas en todas las partes del contrato. Utilice Nitro Sign  para que esta parte del proceso sea más fácil y segura.

Obtener firmas e iniciales de forma legal y ética

Para obtener las firmas de sus clientes, no tiene que reunirse en persona. Nitro Sign facilita la recogida de firmas, incluso a distancia. Puede enviar documentos de forma segura y recoger firmas digitales e iniciales en el contrato a través del sistema .Regístrese para probarlo de forma gratuita , y vea cómo Nitro Sign puede hacer su trabajo como abogado un poco más fácil.

Descubra lo que Nitro puede hacer por usted

Dé hoy el siguiente paso hacia el éxito digital.

Icon-48px-Rapid Support

Contactar con ventas

Hable con nuestros expertos sobre las necesidades de su empresa y explore opciones rentables para las soluciones PDF y eSign de primera clase de Nitro.
Póngase en contacto con nosotros
Icon-48px-Smart signing

Prueba gratuita

Pruebe las soluciones PDF y eSign de Nitro para editar, firmar y organizar documentos sin esfuerzo, ¡gratis durante 14 días!
Comience su prueba gratuita
icon of people with a plus sign

Conviértase en socio

Descubra nuestras emocionantes oportunidades de colaboración para las soluciones documentales de confianza de Nitro
Asóciese con Nitro hoy mismo