Skip to content
PDF-Vorlage

Festpreisvertrag über die rechtliche Vertretung

Beratung bei der Verwendung einer Vorlage für einen Festpreis-Rechtsvertretungsvertrag

Sie suchen einen Vertrag zur rechtlichen Vertretung zum Festpreis, den Sie für Ihr Unternehmen verwenden können? Wir haben eine Vorlage, die Sie noch heute an Ihre Bedürfnisse anpassen können.

Wenn ein Anwalt mit einem Klienten einen Rechtsbeistand vereinbart, benötigt er einen rechtsverbindlichen Vertrag, in dem er klar darlegt, was er anbieten wird und was nicht. Dieses wichtige Dokument verdeutlicht die Erwartungen und stellt gleichzeitig sicher, dass der Anwalt vor falschen Forderungen oder Beschwerden geschützt ist.

In diesem Abschnitt werden wir behandeln:

  • Grundlegende Inhalte einer Vorlage für eine Rechtsvertretungsvereinbarung
  • Zu berücksichtigende Klauseln
  • Zu vermeidende Fallstricke
  • Bewährte Praktiken
  • Unterschriften und Initialen

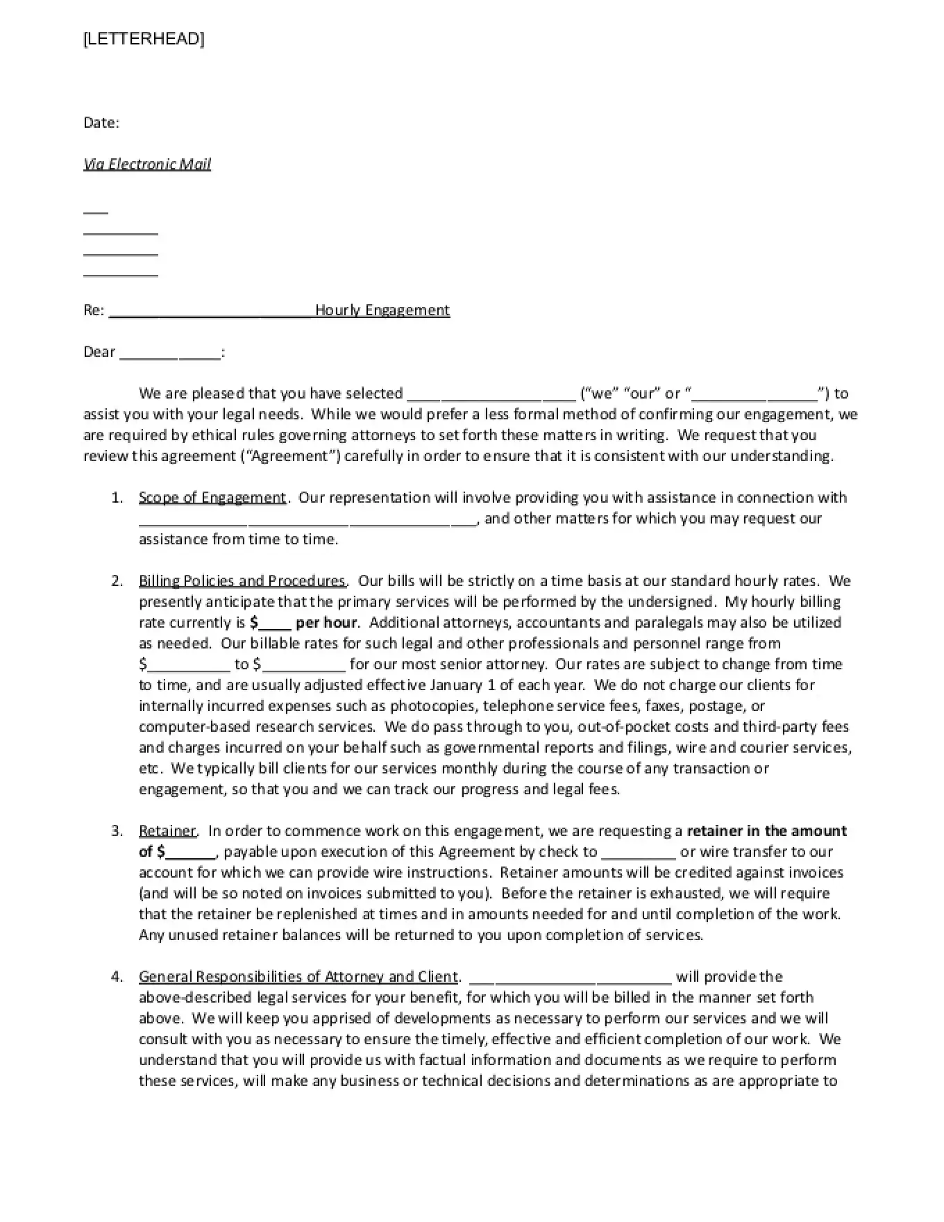
Grundlegende Inhalte einer Vorlage für eine Rechtsvertretungsvereinbarung

In Ihrer Vorlage für eine Rechtsvertretungsvereinbarung benötigen Sie:

  • Namen der beiden Parteien
  • Umfang des Auftrags
  • Honorar und Zahlungsbedingungen
  • Beendigung der Vereinbarung zwischen Anwalt und Mandant
  • Unterschriften beider Parteien

Zu berücksichtigende Klauseln

Auch wenn Sie Ihren Vertrag über die rechtliche Vertretung an die individuellen Bedürfnisse Ihres Unternehmens anpassen müssen, gibt es doch einige Klauseln, die diese Dokumente in der Regel enthalten. Dazu gehören:

  • Auftragsklausel - Hier können Sie die spezifischen Dienstleistungen festlegen, die Sie erbringen werden. Passen Sie diese Klausel an die Leistungen an, die Sie für Ihren Kunden erbringen.
  • Klausel zu den Abrechnungsrichtlinien - Stellen Sie sicher, dass Sie bezahlt werden, indem Sie klar angeben, wie Sie die Zahlungen von Ihren Kunden in Rechnung stellen und einziehen werden. Hier haben Sie auch die Möglichkeit, sich das Recht vorzubehalten, Ihre Gebühren zu erhöhen, wenn sich der Umfang der Arbeit ändert. Geben Sie in diesem Abschnitt an, ob Sie ein Stundenhonorar, ein Erfolgshonorar oder ein Festhonorar berechnen.
  • Allgemeine Zuständigkeitsklausel - Diese Klausel besagt, dass der Anwalt und der Mandant die gleichen Pflichten übernehmen. Legen Sie fest, dass der Mandant Ihnen alle wichtigen Einzelheiten mitteilen muss.
  • Sonstige Bedingungen - In diesem Bereich des Vertrags haben Sie Platz, um alle sonstigen Bedingungen festzulegen, die Sie benötigen. In diesem Abschnitt müssen Sie darauf hinweisen, dass alle Änderungen des Vertrags schriftlich und mit der Unterschrift beider Parteien erfolgen müssen.

Zu vermeidende Fallstricke

Eine Vertragsvorlage für einen Vertrag über die rechtliche Vertretung ist relativ einfach, aber Sie müssen darauf achten, dass Sie diese häufigen Probleme vermeiden:

  • Nicht festlegen, wie der Anwalt bezahlt wird. Anwälte berechnen in der Regel ein Stundenhonorar, aber Sie können auch ein Erfolgshonorar oder eine Festpreisvereinbarung in Betracht ziehen, wenn Ihre Rechtsdienstleistungen relativ einfach sind.
  • Keine Festlegung von Grenzen. Vergewissern Sie sich, dass im Vertrag klar festgelegt ist, wie weit Ihre Vertretung geht. Geben Sie sich selbst eine Ausstiegsmöglichkeit, wenn der Fall nicht so läuft, wie der Mandant es sich wünscht.
  • Nicht auf die Vertretung vor Gericht eingehen. Wenn Ihr rechtliches Anliegen vor Gericht verhandelt werden kann, sollten Sie festlegen, wer Ihren Mandanten vor Gericht vertritt.

Best Practices für Vorlagen für Rechtsvertretungsvereinbarungen

Beachten Sie diese Tipps, um sicherzustellen, dass Ihre Vorlage für eine Rechtsvertretungsvereinbarung wirksam ist:

  • Halten Sie sie klar, aber einfach. Zu viele Informationen können Ihren Mandanten überfordern.
  • Geben Sie an, wann die Beziehung zwischen Anwalt und Mandant endet. Diese Erklärung kann dem Anwalt oder dem Mandanten das Recht geben, die Beziehung zu beenden, muss aber eindeutig sein.
  • Gehen Sie darauf ein, wie die Mandantenakten gehandhabt werden und welche Kosten der Mandant zahlen muss, um seine Akten zu erhalten.
  • Lassen Sie alle Teile des Vertrages unterschreiben und paraphieren. Verwenden Sie Nitro Sign , um diesen Teil des Prozesses einfacher und sicherer zu gestalten.

Unterschriften und Initialen auf legale und ethische Weise einholen

Um Unterschriften von Ihren Kunden zu erhalten, müssen Sie sich nicht persönlich treffen. Nitro Sign macht das Sammeln von Unterschriften einfach, sogar aus der Ferne. Sie können Dokumente sicher versenden und digitale Unterschriften und Initialen auf dem Vertrag über das System sammeln . Melden Sie sich an, um es kostenlos auszuprobieren , und sehen Sie, wie Nitro Sign Ihre Arbeit als Anwalt ein wenig erleichtern kann.

Sehen Sie, was Nitro für Sie tun kann

Machen Sie noch heute den nächsten Schritt, um digital erfolgreich zu sein.

Icon-48px-Rapid Support

Vertrieb kontaktieren

Sprechen Sie mit unseren Experten über Ihre geschäftlichen Anforderungen und entdecken Sie kostengünstige Optionen für die erstklassigen PDF- und eSigning-Lösungen von Nitro.
Nehmen Sie Kontakt auf
Icon-48px-Smart signing

Kostenlose Testversion

Testen Sie die PDF- und eSigning-Lösungen von Nitro, um Dokumente mühelos zu bearbeiten, zu signieren und zu organisieren – 14 Tage lang kostenlos!
Starten Sie Ihre kostenlose Testversion
icon of people with a plus sign

Registrierung als Partner

Erfahren Sie mehr über unsere spannenden Möglichkeiten als Partner für die vertrauenswürdigen Dokumentenlösungen von Nitro.
Werden Sie noch heute Partner von Nitro