Skip to content
Modèle PDF

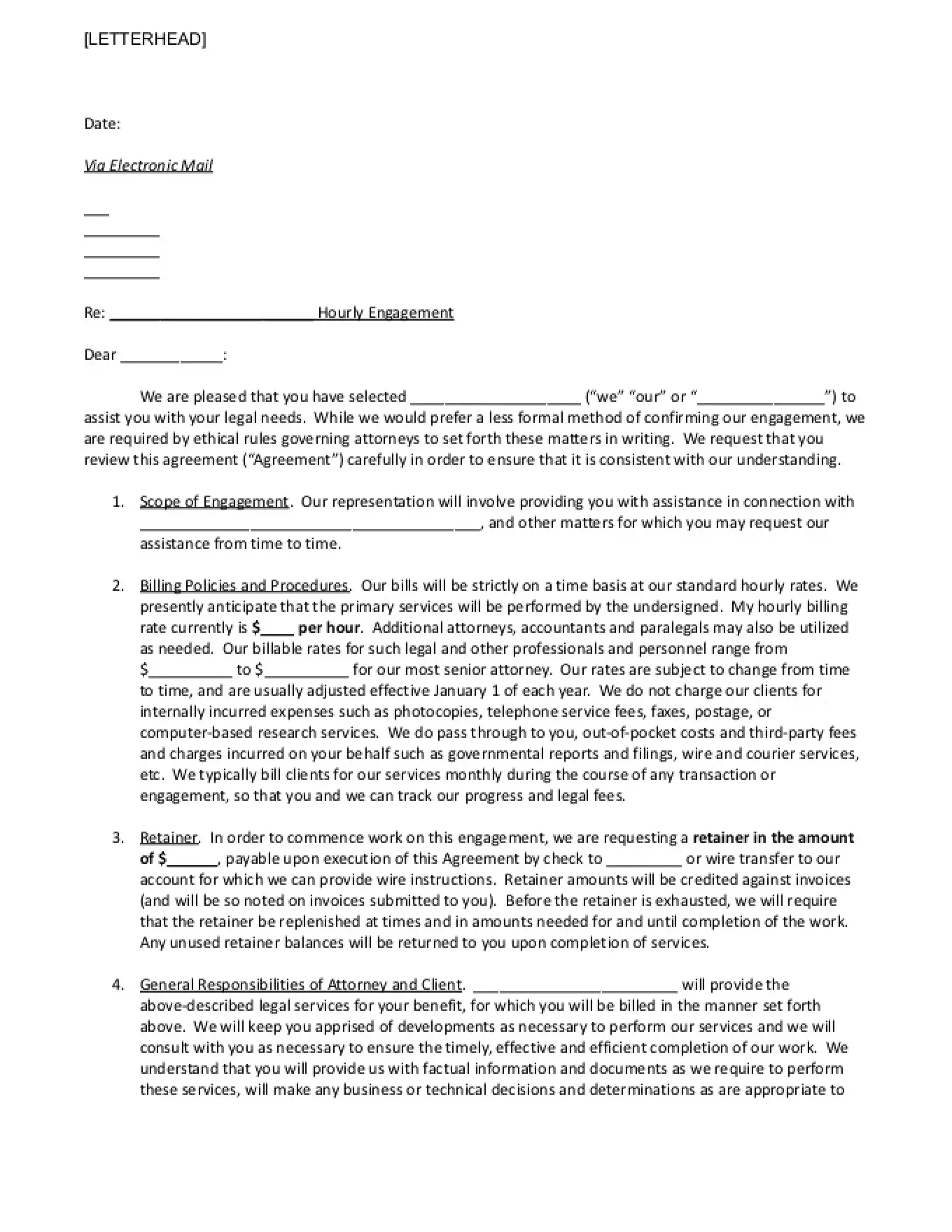
Contrat de représentation juridique à prix fixe

Conseils pour l'utilisation d'un modèle de représentation juridique à prix fixe

Vous cherchez un contrat de représentation juridique à prix fixe à utiliser pour votre entreprise ? Nous avons un modèle prêt à être adapté à vos besoins dès aujourd'hui.

Lorsqu'ils s'engagent avec un client pour une représentation juridique, les avocats ont besoin de contrats juridiquement contraignants pour définir clairement ce qu'ils vont offrir et ce qu'ils ne vont pas offrir. Ce document important précise les attentes tout en garantissant la protection de l'avocat contre les fausses réclamations ou les plaintes.

Dans cette section, nous aborderons les points suivants

  • Contenu de base d'un modèle d'accord de représentation légale
  • Clauses à prendre en considération
  • Les pièges à éviter
  • Les meilleures pratiques
  • Signatures et paraphes

Contenu de base d'un modèle d'accord de représentation légale

Dans votre modèle d'accord de représentation légale, vous avez besoin des éléments suivants

  • les noms des deux parties
  • l'étendue de l'engagement
  • les honoraires et les modalités de paiement
  • Comment mettre fin à l'accord avocat/client
  • les signatures des deux parties.

Clauses à prendre en considération

Bien que vous deviez adapter votre contrat de représentation juridique aux besoins spécifiques de votre entreprise, ces documents contiennent généralement certaines clauses. Il s'agit notamment des clauses suivantes

  • Clause relative à l'étendue de la mission - Vous pouvez définir ici les services spécifiques que vous allez fournir. Adaptez-la aux services que vous fournissez à votre client.
  • Clause relative à la politique de facturation - Assurez-vous d'être payé en indiquant clairement comment vous allez facturer et percevoir les paiements de vos clients. Cette clause vous permet également de vous réserver le droit d'augmenter vos honoraires en cas de modification de l'étendue du travail. Dans cette section, indiquez si vous facturez des honoraires horaires, des honoraires conditionnels ou des honoraires fixes.
  • Clause relative aux responsabilités générales - Cette clause indique que l'avocat et le client assumeront les mêmes responsabilités. Veillez à stipuler que le client doit vous fournir tous les détails importants.
  • Autres conditions - Cette partie du contrat vous permet d'indiquer toutes les autres conditions dont vous avez besoin. Dans cette section, vous devez indiquer que toute modification du contrat doit être faite par écrit et signée par les deux parties.

Pièges à éviter

Un modèle de contrat de représentation juridique est relativement simple, mais vous devez veiller à éviter les problèmes suivants :

  • Ne pas stipuler le mode de rémunération de l'avocat. Les avocats facturent généralement des honoraires à l'heure, mais vous pouvez également envisager un système d'honoraires conditionnels ou d'honoraires fixes si vos services juridiques sont de nature relativement simple.
  • Ne pas fixer de limites. Veillez à ce que le contrat indique clairement la portée de votre représentation. Donnez-vous une porte de sortie si l'affaire ne se déroule pas comme le souhaite le client.
  • Ne pas aborder la question de la représentation en justice. Si votre type de problème juridique peut être porté devant les tribunaux, assurez-vous de stipuler qui représentera votre client au tribunal.

Meilleures pratiques pour les modèles d'accord de représentation légale

Pour vous assurer que votre modèle d'accord de représentation légale est efficace, tenez compte des conseils suivants :

  • Soyez clair et simple. Trop d'informations risquent de submerger votre client.
  • Indiquez quand la relation avocat-client prend fin. Cette déclaration peut donner à l'avocat ou au client le droit de mettre fin à la relation, mais elle doit être claire.
  • Indiquez comment les dossiers des clients sont traités et quels sont les frais que le client doit payer pour obtenir ses dossiers.
  • Obtenez des initiales et des signatures sur toutes les parties du contrat. Utilisez Nitro Sign  pour faciliter et sécuriser cette partie du processus.

Obtenir des signatures et des paraphes dans le respect de la légalité et de l'éthique

Pour obtenir les signatures de vos clients, vous n'avez pas besoin de vous rencontrer en personne. Nitro Sign facilite la collecte des signatures, même à distance. Vous pouvez envoyer des documents en toute sécurité et recueillir des signatures numériques et des paraphes sur le contrat par l'intermédiaire du système .Inscrivez-vous pour l'essayer gratuitement  et voyez comment Nitro Sign peut rendre votre travail d'avocat un peu plus facile.

Découvrez ce que Nitro peut faire pour vous

Passez dès aujourd’hui à l’étape suivante vers le succès numérique.

Icon-48px-Rapid Support

Contacter le service commercial

Exposez vos besoins commerciaux à nos experts et découvrez des options rentables pour les solutions PDF et eSign de classe mondiale de Nitro.
Contactez-nous
Icon-48px-Smart signing

Faites l’essai gratuit

Essayez les solutions PDF et eSign de Nitro pour modifier, signer et organiser des documents facilement, et gratuitement pendant 14 jours !
Commencer votre essai gratuit
icon of people with a plus sign

Devenezr partenaire

Découvrez nos grandes opportunités de partenariat autour des solutions documentaires de confiance de Nitro.
Devenir partenaire Nitro dès aujourd'hui