Skip to content
Modello PDF

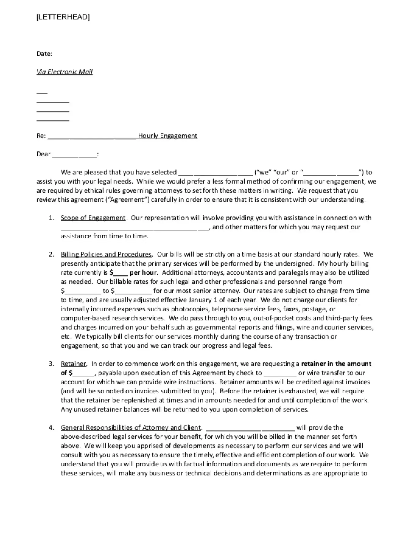
Contratto di rappresentanza legale a prezzo fisso

Consigli per l'utilizzo di un modello di rappresentanza legale a prezzo fisso

State cercando un contratto di rappresentanza legale a prezzo fisso da utilizzare per la vostra attività? Abbiamo un modello pronto per essere personalizzato per le vostre esigenze.

Quando si impegnano con un cliente per la rappresentanza legale, gli avvocati hanno bisogno di contratti giuridicamente vincolanti per delineare chiaramente ciò che sono e non sono in grado di offrire. Questo importante documento chiarisce le aspettative e garantisce al tempo stesso che l'avvocato sia protetto da false richieste o reclami.

In questa sezione tratteremo:

  • Contenuti di base di un modello di contratto di rappresentanza legale
  • Clausole da considerare
  • Insidie da evitare
  • Le migliori pratiche
  • Firme e iniziali

Contenuti di base di un modello di contratto di rappresentanza legale

Nel modello di contratto di rappresentanza legale sono necessari

  • Nomi di entrambe le parti
  • Ambito dell'incarico
  • Onorari e termini di pagamento
  • Come terminare l'accordo avvocato/cliente
  • Firme di entrambe le parti

Clausole da considerare

Sebbene sia necessario personalizzare il contratto di rappresentanza legale in base alle esigenze specifiche dell'azienda, di solito questi documenti contengono alcune clausole. Queste includono:

  • Clausola sull'ambito dell'incarico - Qui è possibile definire i servizi specifici che si intende fornire. Personalizzatela con i servizi che svolgete per il vostro cliente.
  • Clausola sulle politiche di fatturazione - Per essere sicuri di essere pagati, è necessario indicare chiaramente le modalità di fatturazione e di riscossione dei pagamenti da parte dei clienti. In questa sezione è inoltre possibile riservarsi il diritto di aumentare gli onorari in caso di modifica dell'ambito del lavoro. In questa sezione è necessario specificare se si tratta di un onorario orario, di un onorario contingente o di un onorario fisso.
  • Clausola sulle responsabilità generali - Questa clausola indica che l'avvocato e il cliente si assumeranno le stesse responsabilità. Assicuratevi di stabilire che il cliente deve fornirvi tutti i dettagli importanti.
  • Altri termini - Quest'area del contratto offre spazio per delineare eventuali altri termini e condizioni di cui avete bisogno. In questa sezione è necessario indicare che qualsiasi modifica al contratto deve essere fatta per iscritto e firmata da entrambe le parti.

Insidie da evitare

Un modello di contratto di rappresentanza legale è abbastanza semplice, ma è necessario fare attenzione a evitare questi problemi comuni:

  • Non stabilire come viene pagato l'avvocato. Gli avvocati di solito applicano una tariffa oraria, ma si può anche prendere in considerazione un accordo di contingenza o un compenso fisso se i servizi legali sono di natura relativamente semplice.
  • Non stabilire i limiti. Assicuratevi che il contratto indichi chiaramente la portata della vostra rappresentanza. Se il caso non va nel verso desiderato dal cliente, è bene avere una via d'uscita.
  • Non si parla di rappresentanza in tribunale. Se il tipo di problema legale ha la possibilità di andare in tribunale, assicuratevi di stabilire chi rappresenterà il cliente in tribunale.

Migliori prassi per i modelli di accordo di rappresentanza legale

Per assicurarvi che il vostro modello di accordo di rappresentanza legale sia efficace, considerate i seguenti suggerimenti:

  • Mantenere un testo chiaro ma semplice. Un numero eccessivo di informazioni potrebbe sopraffare il cliente.
  • Indicare quando termina il rapporto avvocato-cliente. Questa dichiarazione può dare all'avvocato o al cliente il diritto di porre fine al rapporto, ma deve essere chiara.
  • Indicate come vengono gestiti i fascicoli dei clienti e quali costi deve sostenere il cliente per ottenere i suoi fascicoli.
  • Ottenere le iniziali e le firme su tutte le parti del contratto. Utilizzate Nitro Sign  per rendere questa parte del processo più semplice e sicura.

Ottenere firme e iniziali in modo legale ed etico

Per ottenere le firme dei clienti non è necessario incontrarsi di persona. Nitro Sign semplifica la raccolta delle firme, anche a distanza. Potete inviare i documenti in modo sicuro e raccogliere le firme digitali e le iniziali sul contratto attraverso il sistema . Registratevi per provarlo gratuitamente  e scoprite come Nitro Sign può rendere il vostro lavoro di avvocato un po' più semplice.

Scopri cosa Nitro può fare per te

Fai oggi stesso il passo vincente per il tuo futuro digitale.

Icon-48px-Rapid Support

Contatta l'ufficio vendite

Parla con i nostri esperti delle esigenze della tua azienda e valuta le vantaggiose soluzioni per PDF e firma elettronica di Nitro.
Contattaci
Icon-48px-Smart signing

Prova gratuita

Prova le soluzioni per PDF e firma elettronica di Nitro per modificare, firmare e organizzare i documenti in modo semplice e gratuito per 14 giorni.
Inizia la prova gratuita
icon of people with a plus sign

Diventa nostro partner

Le affidabili soluzioni documentali di Nitro offrono interessanti opportunità ai partner.
Diventa partner di Nitro oggi