Skip to content
PDF-sjabloon

Contract voor juridische vertegenwoordiging tegen een vaste prijs

Advies bij het gebruik van een sjabloon voor juridische vertegenwoordiging tegen een vaste prijs

Op zoek naar een contract voor juridische vertegenwoordiging tegen een vaste prijs voor uw bedrijf? We hebben een sjabloon dat vandaag nog aan uw behoeften kan worden aangepast.

Bij het aangaan van een verbintenis met een klant voor juridische vertegenwoordiging, hebben advocaten juridisch bindende contracten nodig om duidelijk aan te geven wat ze wel en niet gaan aanbieden. Dit belangrijke document maakt verwachtingen duidelijk en zorgt er tegelijkertijd voor dat de advocaat beschermd is tegen valse claims of klachten.

In dit gedeelte behandelen we:

  • Basisinhoud van een sjabloon voor een overeenkomst van wettelijke vertegenwoordiging
  • Te overwegen clausules
  • Valkuilen om te vermijden
  • Beste Praktijken
  • Handtekeningen en initialen

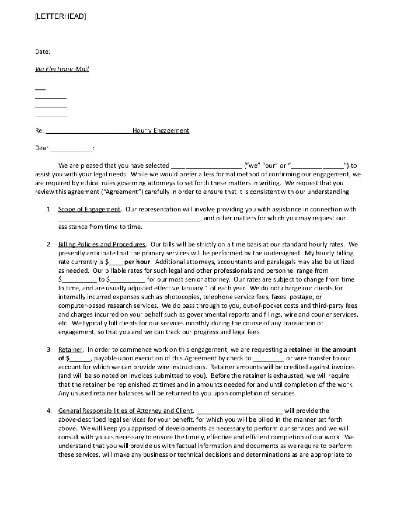
Basisinhoud van een sjabloon voor een overeenkomst van wettelijke vertegenwoordiging

In de sjabloon voor een overeenkomst van wettelijke vertegenwoordiging heb je het volgende nodig:

  • Namen van beide partijen
  • Omvang van de opdracht
  • Vergoedingen en betalingsvoorwaarden
  • Hoe de overeenkomst tussen advocaat en cliënt te beëindigen
  • Handtekeningen van beide partijen

Te overwegen clausules

Hoewel je het contract van je wettelijke vertegenwoordigingsovereenkomst moet aanpassen aan de unieke behoeften van je bedrijf, zijn er bepaalde clausules die deze documenten meestal bevatten. Deze omvatten:

  • Scope of Engagement clausule - Hier kun je de specifieke diensten definiëren die je gaat leveren. Pas dit aan met de diensten die je voor je klant uitvoert.
  • Billing Policies Clause (clausule over factureringsbeleid ) - Zorg ervoor dat je betaald krijgt door duidelijk aan te geven hoe je factureert en betalingen int bij je klanten. Dit geeft je ook de ruimte om je het recht voor te behouden om je honorarium te verhogen als de omvang van het werk verandert. Bespreek in dit gedeelte of je een uurtarief, resultaatafhankelijke vergoeding of vaste vergoeding in rekening brengt.
  • Algemene verantwoordelijkheidsclausule - Deze clausule vertelt dat de advocaat en de cliënt verantwoordelijkheden op zich nemen. Zorg ervoor dat u bepaalt dat de cliënt u alle belangrijke details moet geven.
  • Andere voorwaarden - Dit gedeelte van het contract geeft je de ruimte om eventuele andere voorwaarden te schetsen die je nodig hebt. In dit gedeelte moet je vermelden dat alle wijzigingen in het contract schriftelijk en met de handtekening van beide partijen moeten worden gemaakt.

Valkuilen die je moet vermijden

Een contract sjabloon voor een wettelijke vertegenwoordigingsovereenkomst is vrij eenvoudig, maar je moet wel voorzichtig zijn om deze veel voorkomende problemen te vermijden:

  • Niet bepalen hoe de advocaat wordt betaald. Advocaten rekenen meestal een uurtarief, maar u kunt ook overwegen een contingency fee of vaste vergoeding regeling als uw juridische diensten zijn relatief eenvoudig van aard.
  • Geen grenzen stellen. Zorg ervoor dat het contract duidelijk vermeldt hoe ver je vertegenwoordiging gaat. Geef jezelf een uitweg als de zaak niet gaat zoals de cliënt wil.
  • Vertegenwoordiging in de rechtbank niet aanpakken. Als jouw soort juridische kwestie de mogelijkheid heeft om naar de rechtbank te gaan, zorg er dan voor dat je bepaalt wie je cliënt in de rechtbank zal vertegenwoordigen.

Beste praktijken voor sjablonen voor juridische vertegenwoordigingsovereenkomsten

Om ervoor te zorgen dat uw sjabloon voor een overeenkomst van wettelijke vertegenwoordiging effectief is, kunt u de volgende tips in overweging nemen:

  • Houd het duidelijk maar eenvoudig. Te veel informatie kan uw cliënt overweldigen.
  • Vermeld wanneer de relatie tussen advocaat en cliënt eindigt. Deze verklaring kan de advocaat of de cliënt het recht geven om de relatie te beëindigen, maar het moet duidelijk zijn.
  • Bespreek hoe cliëntendossiers worden behandeld en welke kosten de cliënt moet betalen om zijn dossier te krijgen.
  • Zorg voor initialen en handtekeningen op alle delen van het contract. Gebruik Nitro Sign  om dit deel van het proces eenvoudiger en veiliger te maken.

Wettelijk en ethisch handtekeningen en paraaf krijgen

Om handtekeningen van je klanten te krijgen, hoef je ze niet persoonlijk te ontmoeten. Nitro Sign maakt het verzamelen van handtekeningen eenvoudig, zelfs op afstand. Je kunt documenten veilig verzenden en digitale handtekeningen en paraaf op het contract verzamelen via het systeem .Meld je aan om het gratis te proberen  en zie hoe Nitro Sign jouw werk als advocaat net iets makkelijker kan maken.

Ontdek wat Nitro voor u kan doen

Zet vandaag nog de volgende stap naar digitaal succes.

Icon-48px-Rapid Support

Neem contact op met Sales

Praat met onze experts over de behoeften van uw bedrijf en ontdek kosteneffectieve opties voor ’de PDF- en eSign-oplossingen van Nitro van wereldklasse.
Neem contact op
Icon-48px-Smart signing

Gratis proefperiode

Probeer de PDF- en eSign-oplossingen van Nitro om documenten moeiteloos te bewerken, ondertekenen en organiseren: gratis voor 14 dagen!
Start uw gratis proefperiode
icon of people with a plus sign

Word een partner

Meer informatie over onze interessante partnermogelijkheden voor ’de betrouwbare documentoplossingen van Nitro.
Word vandaag nog partner met Nitro