Skip to content
Modèle PDF

Modèle de contrat de rénovation

Clauses importantes d'un modèle de contrat de rénovation de maison

Vous cherchez un modèle de contrat de rénovation de maison à utiliser avec vos clients pour votre entreprise ? Nous avons un modèle prêt à être adapté à vos besoins dès aujourd'hui.

Si vous travaillez dans le domaine de la construction et de la rénovation, vous connaissez probablement l'importance d'un contrat. Vos services sont précieux et vous devez vous assurer d'être payé équitablement. Mais vous voulez aussi aider vos clients à se sentir en sécurité. Vous pouvez le faire plus facilement à l'aide d'un modèle de contrat de rénovation domiciliaire, qui vous permet d'avoir tous les éléments de base et d'ajouter les détails. Voici ce qu'il faut savoir.

Table des matières

Un modèle de contrat de rénovation domiciliaire sera relativement précis, mais il y aura toujours des éléments que vous devrez compléter. En sachant comment procéder et ce qu'il faut prendre en compte, il vous sera plus facile et plus rapide d'établir et de signer le contrat, afin de pouvoir commencer les travaux. Dans cet article, nous aborderons les points suivants :

  • Clauses importantes
  • Les meilleures pratiques
  • Conseils de sécurité
  • Considérations clés
  • Sources supplémentaires

Lorsque votre entreprise de rénovation est engagée par un client, les détails ont de l'importance. Pour vous assurer que tout ce qui est important est inclus dans le contrat, vous devez veiller à ce que les clauses les plus significatives soient incluses. Voici quelques-unes des clauses les plus courantes.

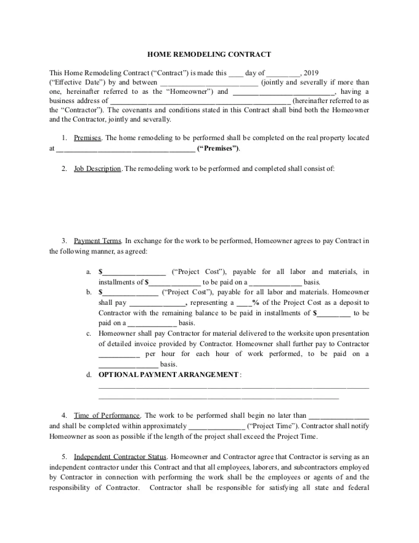
  1. Étendue du travail - Le client et vous-même devez connaître les détails de ce qui sera fait, afin que le client et votre entreprise s'entendent clairement.
  2. Détails du paiement - La façon dont vous serez payé, la date à laquelle vous serez payé et le montant de ce paiement sont importants, et le client doit savoir quand ces paiements sont dus.
  3. Calendrier - Le client doit disposer d'un calendrier approximatif pour l'achèvement du travail et doit savoir ce qui se passera si le travail prend plus de temps que prévu.
  4. Matériaux -- Les matériaux spécifiques que vous utiliserez pour le travail doivent figurer dans le contrat, car certains types de matériaux coûtent beaucoup plus cher que d'autres.
  5. Clause derésiliation - Si le client est autorisé à résilier le contrat, ou si votre entreprise l'est, les raisons pour lesquelles le client est autorisé à résilier le contrat doivent être claires.

Meilleures pratiques en matière de contrat de rénovation

Il n'est pas nécessaire de créer votre contrat de toutes pièces pour qu'il contienne toutes les informations nécessaires. En utilisant un modèle de contrat de rénovation, vous pouvez disposer des informations de base et du langage juridique. Il ne vous reste plus qu'à ajouter les détails. Pour vous assurer que vous suivez les meilleures pratiques de votre secteur d'activité, envisagez les points suivants

  • Laisser le langage juridique dans le modèle, puisqu'il est là pour une raison.
  • Vous assurer que vous avez couvert tous les domaines principaux du contrat en complétant les détails.
  • Toute circonstance inhabituelle ou spécifique qui doit être abordée avec le client.

Lorsque vous mentionnez tous les aspects du projet de rénovation, vos clients ont l'esprit tranquille et savent ce qu'ils obtiennent et ce qu'ils paient. Vous contribuez également à protéger votre entreprise de rénovation d'un point de vue juridique.

Conseils de sécurité pour un contrat de rénovation

Comme tout accord juridiquement contraignant, un contrat de rénovation doit être signé par le client et par votre entreprise, et doit être pris au sérieux. Pour protéger toutes les personnes qui signent le document, envisagez d'envoyer le contrat (et de le faire signer) par voie électronique. Vous pouvez utiliser Nitro Sign pour vos contrats et documents importants , afin de vous sentir en confiance et d'assurer la tranquillité d'esprit de vos clients.

Principaux éléments à prendre en compte pour les contrats de rénovation de maisons

Le modèle de contrat de rénovation que vous choisirez devra être rempli en tenant compte des spécificités de votre entreprise et de votre travail, ainsi que de la portée et des détails sur lesquels vous et le client vous êtes mis d'accord. La bonne formulation et le langage juridique sont importants, mais ce ne sont pas les seuls points auxquels vous devez prêter attention. Veillez également à vous poser les questions suivantes :

  • Le libellé du contrat est-il complet ?
  • Le contrat de rénovation contient-il tous les détails nécessaires ?
  • Le contrat de rénovation protège-t-il votre entreprise et reste-t-il équitable pour le client ?
  • Y a-t-il d'autres points à prendre en compte ?

Le bon modèle de contrat de rénovation vous permettra de répondre plus facilement à ces questions. Vous aurez tous les éléments de base à portée de main et vous n'aurez qu'à remplir ce que vous devez ajouter pour obtenir un contrat de rénovation complet que votre client pourra signer en toute confiance.

Informations et ressources supplémentaires

Vous voulez en savoir plus sur l'utilité d'un modèle de contrat de rénovation pour votre entreprise ? Voici d'autres renseignements sur les clauses courantes et les éléments indispensables aux entreprises de rénovation.

Clauses courantes des contrats de rénovation 
Indispensables pour les contrats de rénovation 
Ce qu'un entrepreneur en rénovation veut que ses clients sachent 

CLAUSE DE NON-RESPONSABILITÉ: Les modèles de contrat fournis sur le site web de Nitro ne sont donnés qu'à titre d'information et sont destinés à servir de point de départ à la création de documents personnalisés. Le contenu de ce site, y compris les modèles, ne constitue pas un avis juridique. Nitro ne donne aucune garantie quant à l'exactitude, l'exhaustivité ou l'adéquation des informations fournies. L'utilisation de ces documents se fait à vos propres risques. Nous vous recommandons vivement de consulter un conseiller juridique qualifié pour vous assurer de la conformité avec les lois et réglementations applicables.

Découvrez ce que Nitro peut faire pour vous

Passez dès aujourd’hui à l’étape suivante vers le succès numérique.

Icon-48px-Rapid Support

Contacter le service commercial

Exposez vos besoins commerciaux à nos experts et découvrez des options rentables pour les solutions PDF et eSign de classe mondiale de Nitro.
Contactez-nous
Icon-48px-Smart signing

Faites l’essai gratuit

Essayez les solutions PDF et eSign de Nitro pour modifier, signer et organiser des documents facilement, et gratuitement pendant 14 jours !
Commencer votre essai gratuit
icon of people with a plus sign

Devenezr partenaire

Découvrez nos grandes opportunités de partenariat autour des solutions documentaires de confiance de Nitro.
Devenir partenaire Nitro dès aujourd'hui