Skip to content
PDF-sjabloon

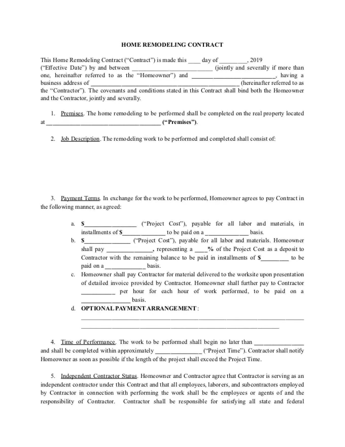
Sjabloon voor een verbouwingscontract

Belangrijke clausules in een sjabloon voor een verbouwingscontract

Op zoek naar een sjabloon voor een verbouwingscontract met klanten voor je bedrijf? We hebben een sjabloon die je vandaag nog kunt aanpassen aan jouw behoeften.

Als je in de bouw en verbouwing werkt, weet je waarschijnlijk hoe belangrijk een contract is. Je diensten zijn waardevol en je moet er zeker van zijn dat je er eerlijk voor wordt betaald. Maar je wilt ook dat je klanten zich zeker voelen. Je kunt dat gemakkelijker doen met een sjabloon voor een verbouwingscontract, zodat je alle basisinformatie hebt en de details kunt invullen. Dit is wat je moet weten.

Inhoudsopgave

Een sjabloon voor een verbouwingscontract zal relatief specifiek zijn, maar er zullen nog steeds gebieden zijn die je moet invullen. Als je weet hoe je dat moet doen en waar je rekening mee moet houden, is het makkelijker en sneller om het contract af te ronden en te ondertekenen, zodat je kunt beginnen met de klus. In dit artikel hebben we het over:

  • Belangrijke clausules
  • Beste Praktijken
  • Tips voor beveiliging
  • Belangrijke overwegingen
  • Aanvullende bronnen

Wanneer jouw verbouwingsbedrijf wordt ingehuurd door een klant, zijn de details belangrijk. Om er zeker van te zijn dat alles wat belangrijk is in het contract staat, wil je er zeker van zijn dat de belangrijkste clausules zijn opgenomen. Dit zijn enkele van de meest voorkomende clausules waar je op moet letten.

  1. Omvang van de klus -- Zowel jij als de klant moeten weten wat er precies gedaan wordt, zodat er een duidelijk begrip is tussen de klant en jouw bedrijf.
  2. Betalingsdetails -- Hoe en wanneer je betaald wordt en hoeveel, dat is allemaal belangrijk en de klant moet weten wanneer die betalingen verschuldigd zijn.
  3. Tijdlijn -- De klant heeft een geschatte tijdlijn nodig om het werk af te krijgen en moet weten wat er gebeurt als het werk langer duurt dan verwacht.
  4. Materialen -- De specifieke materialen die je gebruikt voor het werk moeten worden opgenomen in het contract, omdat sommige soorten materialen veel meer kosten dan andere.
  5. Beëindigingsclausule -- Als de klant het werk mag beëindigen, of jouw bedrijf, moeten de redenen daarvoor duidelijk zijn.

Beste werkwijzen voor een verbouwingscontract

Je hoeft je contract niet helemaal opnieuw op te stellen om alle juiste informatie erin te hebben. Door een sjabloon voor een verbouwingscontract te gebruiken, heb je de basisinformatie en juridische taal beschikbaar. Dan hoef je alleen nog maar de details in te vullen. Om er zeker van te zijn dat je de best practices voor jouw branche volgt, kun je het volgende overwegen:

  • De juridische taal in de sjabloon te laten staan, omdat die er niet voor niets staat.
  • Zorg ervoor dat u alle hoofdgebieden van het contract hebt afgedekt door de details in te vullen.
  • Eventuele ongebruikelijke omstandigheden of bijzonderheden die met de klant moeten worden besproken.

Als je alles over het verbouwingsproject opneemt, hebben je klanten gemoedsrust en weten ze wat ze krijgen en waarvoor ze betalen. Je helpt ook je verbouwingsbedrijf te beschermen vanuit juridisch oogpunt.

Veiligheidstips voor een verbouwingscontract

Zoals elke juridisch bindende overeenkomst, moet een verbouwingscontract worden ondertekend door de klant en je bedrijf en moet het serieus worden genomen. Om iedereen die het document ondertekent te beschermen, kun je overwegen om het contract elektronisch te verzenden (en te laten ondertekenen). Je kunt Nitro Sign gebruiken voor je belangrijke contracten en documenten , zodat je je zeker voelt en je klanten gemoedsrust kunt bieden.

Belangrijke overwegingen voor verbouwingscontracten

Het verbouwingscontract sjabloon dat je kiest moet worden ingevuld met de specifieke kenmerken van jouw bedrijf en klus, samen met de omvang en de details die jij en de klant zijn overeengekomen. De juiste formulering en juridisch taalgebruik zijn belangrijk, maar dat zijn niet de enige gebieden waar je aandacht aan moet besteden. Zorg er ook voor dat je aan de volgende vragen denkt:

  • Is de formulering van het contract volledig?
  • Staan alle details die nodig zijn in het verbouwingscontract?
  • Beschermt het verbouwingscontract je bedrijf en blijft het eerlijk tegenover de klant?
  • Zijn er aanvullende overwegingen die je moet aanpakken?

Met de juiste sjabloon voor een verbouwingscontract kun je deze vragen makkelijker beantwoorden. Je hebt alle basisinformatie binnen handbereik en hoeft alleen maar in te vullen wat je moet toevoegen, voor een compleet verbouwingscontract dat je klant met een gerust hart kan ondertekenen.

Aanvullende informatie en bronnen

Wil je meer weten over hoe een sjabloon voor een verbouwingscontract kan werken voor jouw bedrijf? Hier vind je meer informatie over veelvoorkomende clausules en must-haves voor verbouwingsbedrijven.

Algemene clausules voor een verbouwingscontract 
Must-haves voor verbouwingscontracten 
Wat een verbouwing aannemer wil dat klanten weten 

DISCLAIMER: De contractsjablonen op de website van Nitro zijn alleen voor informatieve doeleinden en zijn bedoeld als uitgangspunt voor het maken van aangepaste documenten. De inhoud, inclusief de sjablonen, vormt geen juridisch advies. Nitro geeft geen verklaringen of garanties met betrekking tot de nauwkeurigheid, volledigheid of geschiktheid van de verstrekte informatie. Het gebruik van deze materialen is op eigen risico. Wij raden u ten zeerste aan gekwalificeerd juridisch advies in te winnen om er zeker van te zijn dat de toepasselijke wet- en regelgeving wordt nageleefd.

Ontdek wat Nitro voor u kan doen

Zet vandaag nog de volgende stap naar digitaal succes.

Icon-48px-Rapid Support

Neem contact op met Sales

Praat met onze experts over de behoeften van uw bedrijf en ontdek kosteneffectieve opties voor ’de PDF- en eSign-oplossingen van Nitro van wereldklasse.
Neem contact op
Icon-48px-Smart signing

Gratis proefperiode

Probeer de PDF- en eSign-oplossingen van Nitro om documenten moeiteloos te bewerken, ondertekenen en organiseren: gratis voor 14 dagen!
Start uw gratis proefperiode
icon of people with a plus sign

Word een partner

Meer informatie over onze interessante partnermogelijkheden voor ’de betrouwbare documentoplossingen van Nitro.
Word vandaag nog partner met Nitro