Skip to content
Modello PDF

Modello di fattura di vendita

Tenete a mente questi aspetti con il vostro modello di fattura di vendita

State cercando un modello di fattura di vendita da utilizzare per la vostra attività? Abbiamo un modello pronto per essere personalizzato per le vostre esigenze.

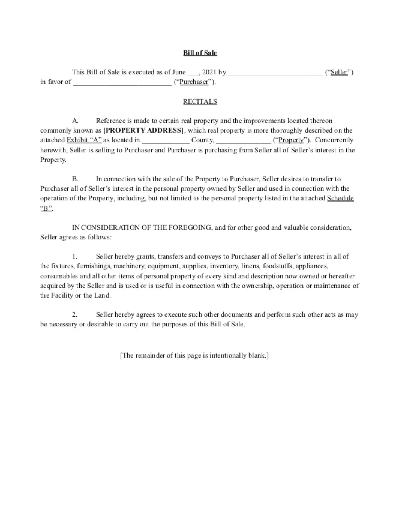
L'atto di vendita è un documento legale che dimostra l'avvenuta vendita. Questo documento si applica in genere all'acquisto di un bene usato di prezzo elevato, come un'auto usata. Fornisce una protezione legale sia all'acquirente che al venditore per dimostrare che la vendita è avvenuta e che la proprietà è passata da una parte all'altra.

Un modello di atto di vendita può essere utile se non ne avete mai creato uno prima. Questa guida vi aiuterà a capire cosa deve essere incluso nell'atto di vendita.

Qui di seguito vengono trattati i seguenti argomenti

  • Parti fondamentali di una fattura di vendita
  • Suggerimenti per un atto di vendita
  • Tipi di beni che richiedono un atto di vendita
  • Link a risorse aggiuntive
  • Firmare un atto di vendita per renderlo legale

Parti fondamentali di un atto di vendita

Un atto di vendita contiene diverse parti. Assicuratevi che il modello che state prendendo in considerazione abbia un posto per ognuna di queste parti:

  • Data della vendita
  • Nome e informazioni di contatto dell'acquirente e del venditore
  • Descrizione del bene
  • Prezzo di vendita
  • Garanzia su altri crediti e pegni
  • Copertura della garanzia
  • Firma

Suggerimenti per un atto di vendita

Quando compilate un atto di vendita, assicuratevi di essere il più dettagliati possibile. Ecco alcuni punti in cui i dettagli aggiuntivi possono essere utili.

  • Descrizione del bene - Aggiungete qui tutto il possibile, compresi anno, marca, modello, chilometraggio, VIN e numero di targa di un veicolo. Quanto più descrittivi sono i dati, tanto minore sarà la probabilità di avere una controversia in seguito.
  • Prezzo di vendita - Indicare il prezzo di vendita del veicolo. Se si tratta di un regalo, verificate le leggi del vostro Stato in materia di regali e regali parziali e assicuratevi di indicare il prezzo di vendita in linea con le leggi dello Stato.
  • Metodo di pagamento - Riportare il metodo di pagamento, ad esempio l'assegno e il numero dell'assegno, se applicabile.
  • Condizioni speciali - Se ci sono condizioni speciali di vendita, includere questa informazione. Ad esempio, se l'auto è coperta da garanzia, includere tale informazione. Se l'auto viene venduta "così com'è", è necessario includere questa informazione.

Una volta ottenute tutte queste informazioni, fate firmare l'atto di vendita alle parti interessate. Quindi, consegnatene una copia sia all'acquirente che al venditore.

Tipi di proprietà che richiedono un atto di vendita

Sebbene i documenti di vendita siano comuni quando si vendono automobili, sono necessari anche quando si vendono altri oggetti di prezzo elevato che devono essere registrati come proprietà. Si tratta di animali, aerei, elettrodomestici, attrezzature per l'esercizio fisico e veicoli ricreativi.

Link a ulteriori risorse

Per saperne di più sulla firma di un atto di vendita o sull'utilizzo di un modello di atto di vendita, visitate queste pagine:

Firmare un atto di vendita per renderlo legale

Prima di poter concludere l'atto di vendita, è necessario firmarlo. Sia l'acquirente che il venditore devono firmare il documento. In alcuni Stati, anche un notaio dovrà essere testimone della firma e firmare. Con Nitro Sign  è possibile raccogliere facilmente le firme digitali per completare più rapidamente l'atto di vendita. Registratevi oggi stesso per una prova gratuita di Nitro Sign o scaricate il vostro modello di atto di vendita per iniziare.

DISCLAIMER: I modelli di contratto forniti sul sito web di Nitro hanno uno scopo puramente informativo e sono intesi come punto di partenza per la creazione di documenti personalizzati. I contenuti qui riportati, compresi i modelli, non costituiscono una consulenza legale. Nitro non rilascia alcuna dichiarazione o garanzia in merito all'accuratezza, alla completezza o all'adeguatezza delle informazioni fornite. L'uso di questi materiali è a rischio dell'utente. Si consiglia vivamente di consultare un consulente legale qualificato per garantire la conformità alle leggi e alle normative vigenti.

Scopri cosa Nitro può fare per te

Fai oggi stesso il passo vincente per il tuo futuro digitale.

Icon-48px-Rapid Support

Contatta l'ufficio vendite

Parla con i nostri esperti delle esigenze della tua azienda e valuta le vantaggiose soluzioni per PDF e firma elettronica di Nitro.
Contattaci
Icon-48px-Smart signing

Prova gratuita

Prova le soluzioni per PDF e firma elettronica di Nitro per modificare, firmare e organizzare i documenti in modo semplice e gratuito per 14 giorni.
Inizia la prova gratuita
icon of people with a plus sign

Diventa nostro partner

Le affidabili soluzioni documentali di Nitro offrono interessanti opportunità ai partner.
Diventa partner di Nitro oggi